【药物名称】Isradipine, PN-200110, Lomir, Icaz, DynaCirc, Prescal
化学结构式(Chemical Structure):
参考文献No.45346
标题:Benzoxadiazoles and benzothiadiazoles, their preparation and pharmaceutical compsns. containing them
作者:Neumann, P. (Novartis AG)
来源:US 4466972
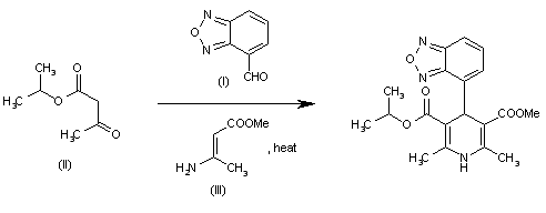
合成路线图解说明:

By cyclization of 2,1,3-benzoxadiazole-4-carbaldehyde (I) with isopropyl acetoacetate (II) and methyl 3-aminocrotonate (III) in refluxing ethanol.

Drug Information Express,Drug R&D,Chemical Database,Patent Search.
Copyright © 2006-2026 Drug Future. All rights reserved.Contact Us