【药物名称】Bisaramil hydrochloride, RGH-2957, YUTAC
化学结构式(Chemical Structure):
参考文献No.51764
标题:YUTAC
作者:Lapis, E.
来源:Drugs Fut 1985,10(10),837
合成路线图解说明:

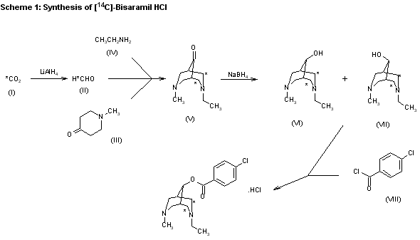
The synthesis of [14C]- and deuterium-labeled bisaramil hydrochloride has been reported: 1) The reduction of (14)CO2 with LiAlH4 in THF gives labeled formaldehyde (II), which by a Mannich reaction is condensed with ethylamine (IV) and N-methylpiperidin-4-one (III) by means of acetic acid in refluxing methanol to yield labeled 3-ethyl-7-methyl-3,7-diazabicyclo[3.3.1]nonan-9-one (V). The reduction of (V) with NaBH4 in methanol/NaOH affords a mixture of the alpha- and beta-isomers of the labeled 9-hydroxy derivative (VI + VII). After separation by its different solubility in isopropanol, the alpha-isomer is condensed with 4-chlorobenzoyl chloride (VIII) in hot pyridine to give [2,4-14C]-labeled bisaramil.

参考文献No.802559
标题:Synthesis of bisaramil labelled with carbon-14 and deuterium
作者:Mlinko, S.; Simon Trompler, E.; Szammer, J.
来源:J Label Compd Radiopharm 1994,34(4),313
合成路线图解说明:

The synthesis of [14C]- and deuterium-labeled bisaramil hydrochloride has been reported: 1) The reduction of (14)CO2 with LiAlH4 in THF gives labeled formaldehyde (II), which by a Mannich reaction is condensed with ethylamine (IV) and N-methylpiperidin-4-one (III) by means of acetic acid in refluxing methanol to yield labeled 3-ethyl-7-methyl-3,7-diazabicyclo[3.3.1]nonan-9-one (V). The reduction of (V) with NaBH4 in methanol/NaOH affords a mixture of the alpha- and beta-isomers of the labeled 9-hydroxy derivative (VI + VII). After separation by its different solubility in isopropanol, the alpha-isomer is condensed with 4-chlorobenzoyl chloride (VIII) in hot pyridine to give [2,4-14C]-labeled bisaramil.

合成路线图解说明:

2) Hexadeuteroethyl alcohol (IX) is treated with red phosphorus and I2 at reflux temperature to give pentadeuteroethyl iodide (X), which is condensed with potassium phthalimide (XI) in DMF, yielding N-(pentadeuteroethyl)phthalimide (XII). The hydrolysis of (XII) with hydrazine and HCl affords pentadeuteroethylamine (XIII), which is condensed with 1-methylpiperidin-4-one (III) and formaldehyde (XIV) in a Mannich reaction to give 3-methyl-7-(pentadeuteroethyl)-3,7-diazabicyclo[3.3.1]nonan-9-one (XV). The reduction of (XV) with NaBH4 as before yields the diastereomeric mixture (XVI + XVII). Finally, the alpha-isomer (XVI) is condensed with 4-chlorobenzoyl chloride (VIII) as before to give the pentadeuterium-labeled bisaramil.

Drug Information Express,Drug R&D,Chemical Database,Patent Search.
Copyright © 2006-2026 Drug Future. All rights reserved.Contact Us