【药物名称】Cefprozil, BMY-28100-03-800(monohydrate), BMY-28100, Cefzil, Procef
化学结构式(Chemical Structure):
参考文献No.1883
标题:Substd. vinyl cephalosporins
作者:Aburaki, S.; Okumura, J.; Naito, T.; Abe, Y.; Hoshi, H. (Bristol-Myers Squibb Co.)
来源:BE 0898778; CH 661731; DE 3402642; ES 8600310; GB 2135305; JP 1986171486; US 4520022
合成路线图解说明:

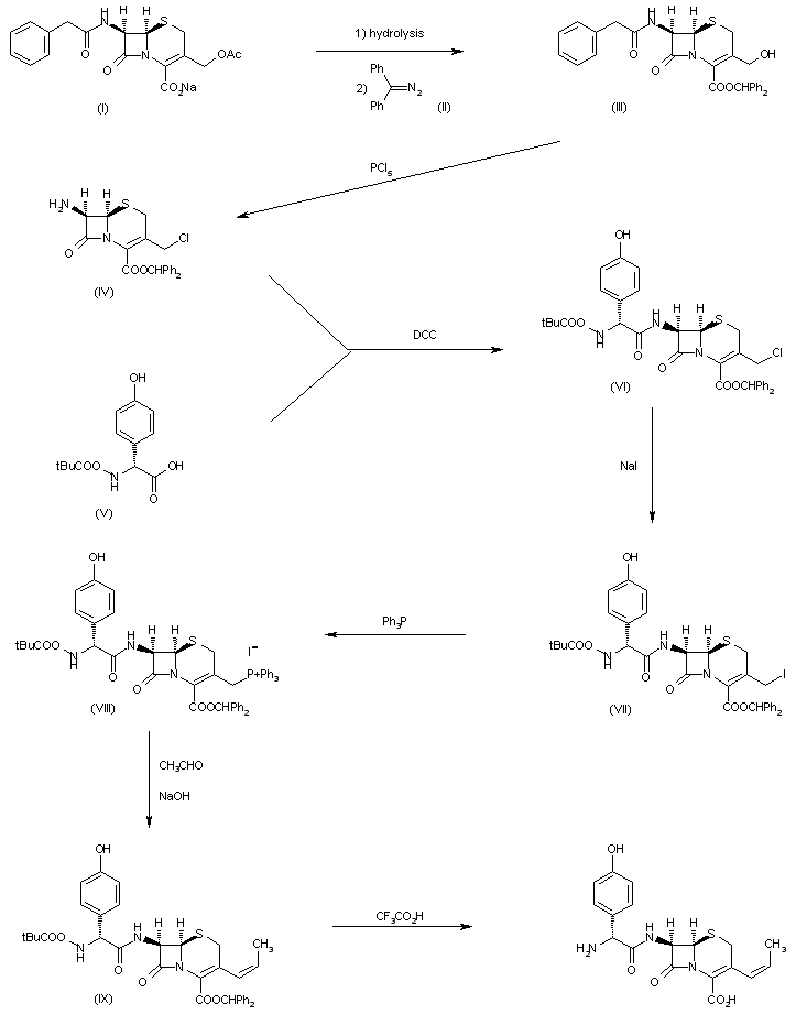
The partial hydrolysis of 7-(phenylacetamido) cephalosporanic acid (I) followed by esterification with diphenyldyazomethane (II) gives benzhydryl 3-(hydroxymethyl)-7-(phenylacetamido)-3-cephem-4-carboxylate (III), which by reaction with PCl5 affords benzhydryl 7-amino-3-(chloromethyl)-3- cephem-4-carboxylate (IV). The condensation of (IV) with N-(tert-butoxycarbonyl)-2(R)-(4-hydroxyphenyl) glycine (V) by means of dicyclohexylcarbodiimide (DCC) yields benzhydryl 7-[(R)-2-(tert-butoxycarbonylamino)-2-(4-hydroxypheny) acetamido]-3-(chloro-methyl)-3-cephem-4-carboxylate (VI), which by reaction with NaI in acetone is converted to the corresponding iodomethyl derivative (VII).The reaction of (VII) with triphenylphosphine in ethyl acetate affords the phosphonium salt (VIII), which is submitted to a Wittig condensation with acetaldehyde to yield benzhydryl 7-[(R)-2-(tert-butoxycarbonylamino)-2-(4-hydroxyphenyl)acetamido]-3-(propenyl)-3-cephem-4-carboxylate (IX). Finally this compound is deprotected by a treatment with trifluoroacetic acid.

参考文献No.95991
标题:CEFPROZIL
作者:Serradell, M.N.; Casta馿r, J.; Casta馿r, R.M.
来源:Drugs Fut 1989,14(6),507
合成路线图解说明:

The partial hydrolysis of 7-(phenylacetamido) cephalosporanic acid (I) followed by esterification with diphenyldyazomethane (II) gives benzhydryl 3-(hydroxymethyl)-7-(phenylacetamido)-3-cephem-4-carboxylate (III), which by reaction with PCl5 affords benzhydryl 7-amino-3-(chloromethyl)-3- cephem-4-carboxylate (IV). The condensation of (IV) with N-(tert-butoxycarbonyl)-2(R)-(4-hydroxyphenyl) glycine (V) by means of dicyclohexylcarbodiimide (DCC) yields benzhydryl 7-[(R)-2-(tert-butoxycarbonylamino)-2-(4-hydroxypheny) acetamido]-3-(chloro-methyl)-3-cephem-4-carboxylate (VI), which by reaction with NaI in acetone is converted to the corresponding iodomethyl derivative (VII).The reaction of (VII) with triphenylphosphine in ethyl acetate affords the phosphonium salt (VIII), which is submitted to a Wittig condensation with acetaldehyde to yield benzhydryl 7-[(R)-2-(tert-butoxycarbonylamino)-2-(4-hydroxyphenyl)acetamido]-3-(propenyl)-3-cephem-4-carboxylate (IX). Finally this compound is deprotected by a treatment with trifluoroacetic acid.

参考文献No.804041
标题:Synthesis and structure-activity relationsships of a new oral cephalosporin, BMY-28100 and related compounds
作者:Winocour, P.; Vezina, M.; Kornbrust, D.; Sullivan, T.; Durkin, J.
来源:J Antibiot 1987,40(7),991
合成路线图解说明:

The partial hydrolysis of 7-(phenylacetamido) cephalosporanic acid (I) followed by esterification with diphenyldyazomethane (II) gives benzhydryl 3-(hydroxymethyl)-7-(phenylacetamido)-3-cephem-4-carboxylate (III), which by reaction with PCl5 affords benzhydryl 7-amino-3-(chloromethyl)-3- cephem-4-carboxylate (IV). The condensation of (IV) with N-(tert-butoxycarbonyl)-2(R)-(4-hydroxyphenyl) glycine (V) by means of dicyclohexylcarbodiimide (DCC) yields benzhydryl 7-[(R)-2-(tert-butoxycarbonylamino)-2-(4-hydroxypheny) acetamido]-3-(chloro-methyl)-3-cephem-4-carboxylate (VI), which by reaction with NaI in acetone is converted to the corresponding iodomethyl derivative (VII).The reaction of (VII) with triphenylphosphine in ethyl acetate affords the phosphonium salt (VIII), which is submitted to a Wittig condensation with acetaldehyde to yield benzhydryl 7-[(R)-2-(tert-butoxycarbonylamino)-2-(4-hydroxyphenyl)acetamido]-3-(propenyl)-3-cephem-4-carboxylate (IX). Finally this compound is deprotected by a treatment with trifluoroacetic acid.

Drug Information Express,Drug R&D,Chemical Database,Patent Search.
Copyright © 2006-2026 Drug Future. All rights reserved.Contact Us