【药物名称】AH-7725
化学结构式(Chemical Structure):
参考文献No.800751
标题:AH 7725
作者:Casta馿r, J.; Blancafort, P.
来源:Drugs Fut 1976,1(7),313
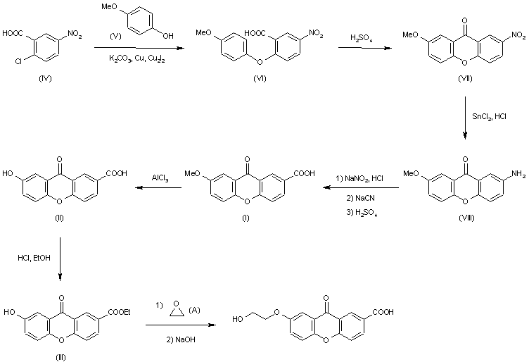
合成路线图解说明:

By cleavage of the 7-methoxy-9-oxoxanthene-2-carboxylic acid (I) with AlCl3 in xylene to give 7-hydroxy-9-oxoxanthene-2-carboxylic acid (II), which is then esterified with ethanol and anhydrous HCl to the corresponding ethyl ester (III). This product is treated first with ethylene oxide (A) in DMF, and finally hydrolyzed with NaOH in ethanol-water. The condensation of 2-chloro-5-nitrobenzoic acid (IV) with 4-methoxyphenol (V) by means of K2CO3, Cu and Cu2I2 in n-pentanol gives 2-(4-methoxyphenoxy)-5-nitrobenzoic acid (VI), which is cyclized with concentrated H2SO4 to 7-methoxy-2-nitroxanthone (VII). The reduction of the nitro group of (VII) with SnCl2 in concentrated HCl yields 7-methoxy-2-aminoxanthone (VIII). Finally, this product is treated first with NaNO2 - HCl, then with NaCN and finally hydrolyzed with H2SO4 to afford 7-methoxy-9-oxoxanthene-2-carboxylic acid.

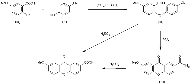
合成路线图解说明:

The condensation of 2-bromo-5-methoxybenzoic acid (IX) with 4-hydroxybenzonitrile (X) by means of K2CO3, Cu and Cu2I2 in n-pentanol gives 2-(4-cyanophenoxy)-5-methoxybenzoic acid (XI), which is cyclized and hydrolyzed with hot H2SO4 to give the starting product (I). Alternatively, compound (XI) can be cyclized and partially hydrolyzed with hot polyphosphoric acid giving 7-methoxy-9-oxoxanthene-2-carboxamide (XII), which is finally hydrolyzed with H2SO4.

参考文献No.900137
标题:Xanthone derivatives.
作者:Bays, D.E.
来源:DE 2058295; FR 2073425; GB 1312620; US 3706768
合成路线图解说明:

By cleavage of the 7-methoxy-9-oxoxanthene-2-carboxylic acid (I) with AlCl3 in xylene to give 7-hydroxy-9-oxoxanthene-2-carboxylic acid (II), which is then esterified with ethanol and anhydrous HCl to the corresponding ethyl ester (III). This product is treated first with ethylene oxide (A) in DMF, and finally hydrolyzed with NaOH in ethanol-water. The condensation of 2-chloro-5-nitrobenzoic acid (IV) with 4-methoxyphenol (V) by means of K2CO3, Cu and Cu2I2 in n-pentanol gives 2-(4-methoxyphenoxy)-5-nitrobenzoic acid (VI), which is cyclized with concentrated H2SO4 to 7-methoxy-2-nitroxanthone (VII). The reduction of the nitro group of (VII) with SnCl2 in concentrated HCl yields 7-methoxy-2-aminoxanthone (VIII). Finally, this product is treated first with NaNO2 - HCl, then with NaCN and finally hydrolyzed with H2SO4 to afford 7-methoxy-9-oxoxanthene-2-carboxylic acid.

合成路线图解说明:

The condensation of 2-bromo-5-methoxybenzoic acid (IX) with 4-hydroxybenzonitrile (X) by means of K2CO3, Cu and Cu2I2 in n-pentanol gives 2-(4-cyanophenoxy)-5-methoxybenzoic acid (XI), which is cyclized and hydrolyzed with hot H2SO4 to give the starting product (I). Alternatively, compound (XI) can be cyclized and partially hydrolyzed with hot polyphosphoric acid giving 7-methoxy-9-oxoxanthene-2-carboxamide (XII), which is finally hydrolyzed with H2SO4.

Drug Information Express,Drug R&D,Chemical Database,Patent Search.
Copyright © 2006-2026 Drug Future. All rights reserved.Contact Us