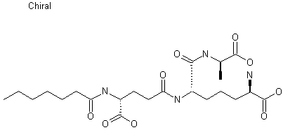
【药物名称】FR-41565, FK-565
化学结构式(Chemical Structure):
参考文献No.242529
标题:FK-565
作者:Hoshi, A.; Casta馿r, J.
来源:Drugs Fut 1994,19(3),243
合成路线图解说明:

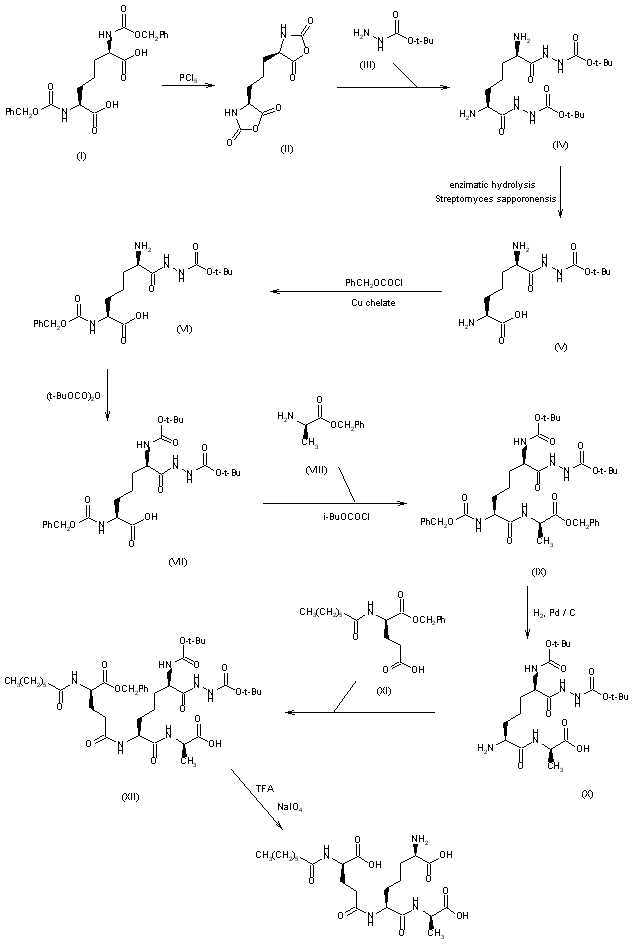
1) The cyclization of meso-2,6-bis(benzyloxycarbonylamino)heptanedioic acid (I) with PCl5 gives the corresponding bis oxazolidinedione (II), which is treated with tert-butyl carbazate (III) yielding the bis hydrazide (IV). Enzymatic hydrolysis of (IV) with Streptomyces sapporonensis affords the (S)-monoacid (V), which is selectively protected with benzyl chloroformate and copper chelate (VI). A second protection reaction of (VI) with tert-butoxycarbonyl anhydride gives the amino protected acid (VII) , which is condensed with D-alanine benzyl ester (VIII) by means of isobutyl chloroformate to afford the acylated D-alanine (IX). Elimination of the benzyloxycarbonyl groups of (IX) by hydrogenolysis yields compound (X) with a free amino group, which is condensed with N-heptanoyl-D-glutamic acid 1-benzyl monoester (XI) to give the protected FK-565 precursor (XII). Finally, this compound is deprotected with trifluoroacetic acid and sodium periodate.

合成路线图解说明:

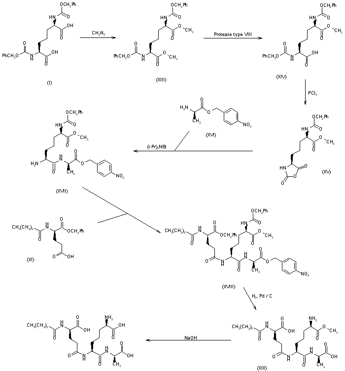
2) The methylation of meso-2,6-bis(benzyloxycarbonylamino)heptanedioic acid (I) with diazomethane gives the corresponding dimethyl ester (XIII), which is submitted to a selective hydrolysis with a protease type VIII enzyme yielding the monoester (XIV). The cyclization of (XIV) with PCl5 affords the oxazolidinedione (XV), which is condensed with D-alanine 4-nitrobenzyl ester (XVI) to give compound (XVII) with a free amino group that is condensed with D-glutamic acid monoester (XI) affording the fully protected FK-565 derivative (XVIII), which is first debenzylated by hydrogenolysis to methyl ester (XIX), and finally hydrolyzed with NaOH.

参考文献No.243105
标题:Synthesis and RES-stimulating activity of bacterial cell-wall peptidoglycan peptides related to FK-156
作者:Kitaura, Y.; Takeno, H.; Aratani, M.; Okada, S.; Yonishi, S.; Hemmi, K.; Nakaguchi, O.; Hashimoto, M.
来源:Experientia 1982,381101-3
合成路线图解说明:

1) The cyclization of meso-2,6-bis(benzyloxycarbonylamino)heptanedioic acid (I) with PCl5 gives the corresponding bis oxazolidinedione (II), which is treated with tert-butyl carbazate (III) yielding the bis hydrazide (IV). Enzymatic hydrolysis of (IV) with Streptomyces sapporonensis affords the (S)-monoacid (V), which is selectively protected with benzyl chloroformate and copper chelate (VI). A second protection reaction of (VI) with tert-butoxycarbonyl anhydride gives the amino protected acid (VII) , which is condensed with D-alanine benzyl ester (VIII) by means of isobutyl chloroformate to afford the acylated D-alanine (IX). Elimination of the benzyloxycarbonyl groups of (IX) by hydrogenolysis yields compound (X) with a free amino group, which is condensed with N-heptanoyl-D-glutamic acid 1-benzyl monoester (XI) to give the protected FK-565 precursor (XII). Finally, this compound is deprotected with trifluoroacetic acid and sodium periodate.

参考文献No.801648
标题:Total synthesis of FK-156 isolated from a Streptomyces as an immunostimulating peptide: Application of a novel copper chelate amino protection
作者:Takeno, H.; Kitaura, Y.; Hashimoto, M.; Hemmi, K.; Nakaguchi, O.; Okada, S.
来源:J Am Chem Soc 1981,103(23),7026-8
合成路线图解说明:

1) The cyclization of meso-2,6-bis(benzyloxycarbonylamino)heptanedioic acid (I) with PCl5 gives the corresponding bis oxazolidinedione (II), which is treated with tert-butyl carbazate (III) yielding the bis hydrazide (IV). Enzymatic hydrolysis of (IV) with Streptomyces sapporonensis affords the (S)-monoacid (V), which is selectively protected with benzyl chloroformate and copper chelate (VI). A second protection reaction of (VI) with tert-butoxycarbonyl anhydride gives the amino protected acid (VII) , which is condensed with D-alanine benzyl ester (VIII) by means of isobutyl chloroformate to afford the acylated D-alanine (IX). Elimination of the benzyloxycarbonyl groups of (IX) by hydrogenolysis yields compound (X) with a free amino group, which is condensed with N-heptanoyl-D-glutamic acid 1-benzyl monoester (XI) to give the protected FK-565 precursor (XII). Finally, this compound is deprotected with trifluoroacetic acid and sodium periodate.

参考文献No.801650
标题:New convenient synthesis of immunostimulating peptides containing meso-diaminopimelic acid. Syntheses of FK-565 and FK-156
作者:Kolodziejczyk, A.M.; Stoev, S.; Kolodziejczyk, A.S.
来源:Int J Pept Protein Res 1992,39282-7
合成路线图解说明:

2) The methylation of meso-2,6-bis(benzyloxycarbonylamino)heptanedioic acid (I) with diazomethane gives the corresponding dimethyl ester (XIII), which is submitted to a selective hydrolysis with a protease type VIII enzyme yielding the monoester (XIV). The cyclization of (XIV) with PCl5 affords the oxazolidinedione (XV), which is condensed with D-alanine 4-nitrobenzyl ester (XVI) to give compound (XVII) with a free amino group that is condensed with D-glutamic acid monoester (XI) affording the fully protected FK-565 derivative (XVIII), which is first debenzylated by hydrogenolysis to methyl ester (XIX), and finally hydrolyzed with NaOH.

Drug Information Express,Drug R&D,Chemical Database,Patent Search.
Copyright © 2006-2026 Drug Future. All rights reserved.Contact Us