【药物名称】Lifibrol, U-83860, K-12.148
化学结构式(Chemical Structure):
参考文献No.1085
标题:p-Oxybenzoic acid derivs., as well as process for their preparation and their use as medicines
作者:Grill, H.; Reiter, F.; L鰏er, R.; Schliack, M.; Seibel, K. (Klinge Pharma GmbH)
来源:DE 3326164; EP 0133935; US 4582857
合成路线图解说明:

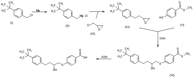
The reaction of 4-tert-butylbenzyl chloride (I) with Mg in ether gives the corresponding Grignard reagent (II), which is condensed with epichlorohydrin (III) yielding 4-(4-tert-butylphenyl)-1,2-epoxybutane (IV). The condensation of (IV) with methyl 4-hydroxybenzoate (V) by means of KOH in refluxing methanol affords 4-[4-(4-tert-butylphenyl)-2-hydroxybutoxy]benzoic acid methyl ester (VI), which is finally saponified with KOH in refluxing ethanol/water.

参考文献No.290300
标题:Lifibrol
作者:Rabasseda, X.; Casta馿r, J.; Mealy, N.
来源:Drugs Fut 1995,20(4),325
合成路线图解说明:

The reaction of 4-tert-butylbenzyl chloride (I) with Mg in ether gives the corresponding Grignard reagent (II), which is condensed with epichlorohydrin (III) yielding 4-(4-tert-butylphenyl)-1,2-epoxybutane (IV). The condensation of (IV) with methyl 4-hydroxybenzoate (V) by means of KOH in refluxing methanol affords 4-[4-(4-tert-butylphenyl)-2-hydroxybutoxy]benzoic acid methyl ester (VI), which is finally saponified with KOH in refluxing ethanol/water.

Drug Information Express,Drug R&D,Chemical Database,Patent Search.
Copyright © 2006-2026 Drug Future. All rights reserved.Contact Us