【药物名称】Actisomide, SC-36602
化学结构式(Chemical Structure):
参考文献No.1786
标题:Pyridopyrimidinones
作者:Adelstein, G.W.; Chorvat, R.J. (Pharmacia Corp.)
来源:EP 0104647; US 4560754
合成路线图解说明:

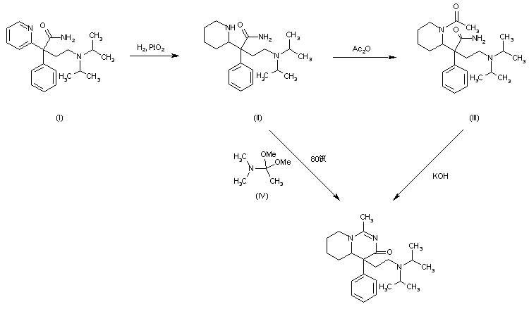
This compound can be obtained by two related ways: 1) The hydrogenation of 4-(diisopropylamino)-2-phenyl-2-(2-pyridyl)butyramide (I) with H2 over PtO2 in acidic water gives the corresponding piperidine derivative (II), which is acetylated with acetic anhydride to the acetylpiperidine (III). Finally, this compound is cyclized by means of KOH in DMSO. 2) The cyclization of piperidine derivative (II) whith dimethylacetamide dimethyl ketal (IV) at 80 C also yields the final product.

参考文献No.51633
标题:Small organic molecule regulators of cell proliferation
作者:Baxter, A.D.; Boyd, E.A.; Price, S.; Guicherit, O.M.; Porter, J.; Rubin, L.E. (Curis, Inc.)
来源:US 6613798; US 6683108; WO 0174344
合成路线图解说明:

This compound can be obtained by two related ways: 1) The hydrogenation of 4-(diisopropylamino)-2-phenyl-2-(2-pyridyl)butyramide (I) with H2 over PtO2 in acidic water gives the corresponding piperidine derivative (II), which is acetylated with acetic anhydride to the acetylpiperidine (III). Finally, this compound is cyclized by means of KOH in DMSO. 2) The cyclization of piperidine derivative (II) whith dimethylacetamide dimethyl ketal (IV) at 80 C also yields the final product.

合成路线图解说明:

1,4-Diaminocyclohexane (I) is converted into the mono-carbamate (II) employing di-tert-butyl dicarbonate in cold THF. Subsequent reduction of carbamate (II) by means of LiAlH4 leads to the N-methyl amine (III). After blocking the primary amino group of (III) as the corresponding benzaldimine (IV), treatment with di-tert-butyl dicarbonate gives rise to the mono-protected diamine (V). (1,2)

合成路线图解说明:

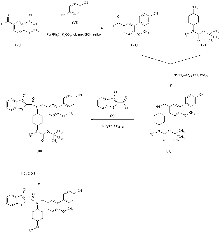
Suzuki coupling between 2-methoxy-5-formylphenylboronic acid (VI) and 4-bromobenzonitrile (VII) affords the biphenyl aldehyde (VIII). This is then reductively condensed with amine (V) in the presence of NaBH(OAc)3 to furnish (IX). Acylation of amine (IX) with 3-chlorobenzo[b]thiophene-2-carbonyl chloride (X) leads to amide (XI). The N-Boc protecting group of (XI) is finally removed with ethanolic HCl to provide the title compound. (1,2)

参考文献No.546840
标题:Synthesis and structure-activity relationships of a new series of antiarrhythmic agents: 4,4-disubstituted hexahydro-3H-pyrido[1,2-c]pyrimidin-3-ones and related compounds
作者:Chorvat, R.J.; Prodan, K.A.; Adelstein, G.W.; Rydzewski, R.M.; McLaughlin, K.T.; Stamm, M.H.; Frederick, L.G.; Schniepp, H.C.; Stickney, J.L.
来源:J Med Chem 1985,28(9),1285
合成路线图解说明:

This compound can be obtained by two related ways: 1) The hydrogenation of 4-(diisopropylamino)-2-phenyl-2-(2-pyridyl)butyramide (I) with H2 over PtO2 in acidic water gives the corresponding piperidine derivative (II), which is acetylated with acetic anhydride to the acetylpiperidine (III). Finally, this compound is cyclized by means of KOH in DMSO. 2) The cyclization of piperidine derivative (II) whith dimethylacetamide dimethyl ketal (IV) at 80 C also yields the final product.

Drug Information Express,Drug R&D,Chemical Database,Patent Search.
Copyright © 2006-2026 Drug Future. All rights reserved.Contact Us