【药物名称】Quinpirole hydrochloride, LY-171555
化学结构式(Chemical Structure):
参考文献No.45878
标题:Prolactin inhibiting octahydropyrazolo[3,4-g]quinolines
作者:Bach, N.; Kornfeld, E.C. (Eli Lilly and Company)
来源:DD 148517; EP 0013787; ES 482087; FR 2446820; FR 2446821; FR 2446822; GB 2040915; GB 2092579; US 4198415
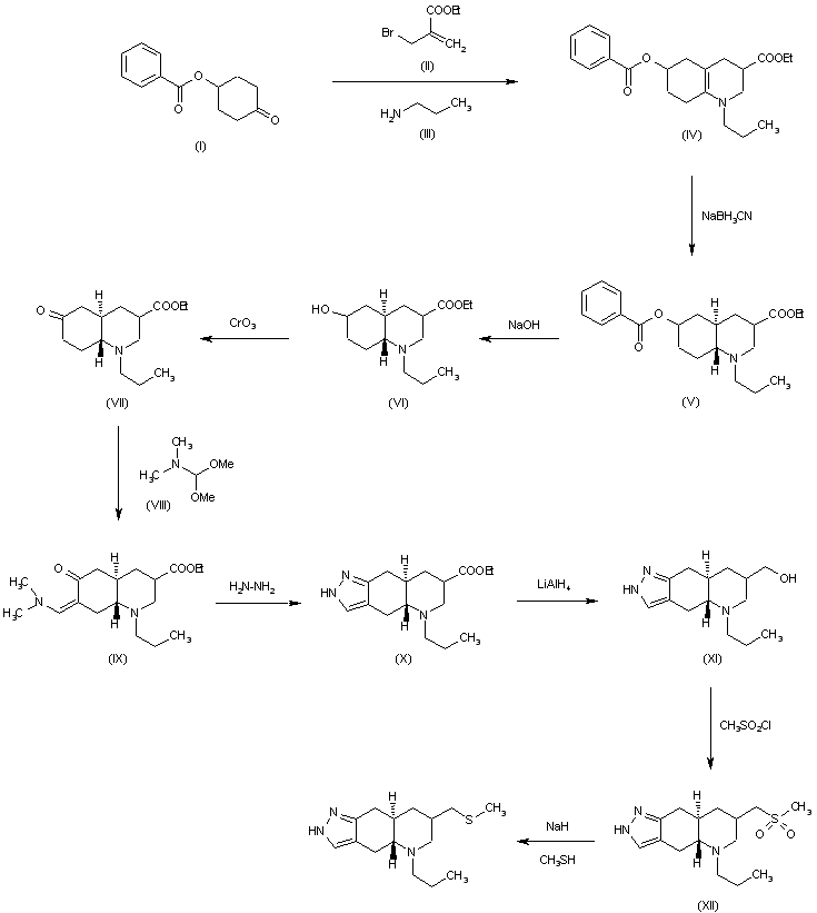
合成路线图解说明:

The cyclization of 4-benzoyloxycyclohexanone (I) with ethyl 2-bromomethylacrylate (II) and propylamine (III) in refluxing toluene gives ethyl 1-propyl-6-benzoyloxy-1,2,3,4,5,6,7,8-octahydroquinoline-3-carboxylate (IV), which is reduced with sodium cyanoborohydride in methanol yielding the corresponding decahydro derivative (V). Debenzoylation of (V) with NaOH in methanol affords the hydroxyquinoline (VI), which is oxidized with CrO3-pyr giving ethyl 1-propyl-6-oxodecahydroquinoline-3-carboxylate (VII). The reaction of (VII) with dimethylformamide dimethylacetal (VIII) in refluxing toluene yields ethyl 1-propyl-6-oxo-7-(dimethylaminomethylene)decahydroquinoline-3-carboxylate (IX), which is cyclized with hydrazine in ethanol affording ethyl 5-propyl-4,4a,5,6,7,8,8a,9-octahydro-2H-pyrazolo[3,4-g]quinoline-7-carboxylic acid (X). The reduction of (X) with LiAlH4 in THF gives the corresponding hydroxymethyl derivative (XI), which is esterified with methanesulfonyl chloride to the mesyl ester (XII). Finally, this compound is treated with methyl mercaptane and NaH in DMF.

合成路线图解说明:

The reaction of 4-benzoyloxycyclohexanone (I) with pyrrolidine (II) by means of p-toluenesulfonic acid in refluxing benzene gives the corresponding enamine (III), which is cyclized with acrylamide (IV) in refluxing dioxane yielding the mixture of hexahydroquinolones (V) and (VI). Benzylation of this mixture with benzylbromide (A) and NaH in THF affords the mixture of N-benzylquinolones (VII) and (VIII), which is reduced with LiAlH4 to the mixture of N-benzylhexahydroquinolines (IX) and (X). The reduction of this mixture with sodium cyanoborohydride in THF affords trans-1-benzyl-6-hydroxydecahydro quinoline (XI), which by reaction with BN in CH2Cl2 is converted to trans-1-cyano-6-hydroxydecahydro quinoline (XII). Oxidation of (XII) with CrO3/pyridine in CH2Cl2 gives the corresponding quinolone (XIII), which by reaction with dimethylformamide dimethyl acetal (XIV) in refluxing benzene is converted to 1-cyano-6-oxo-7-(dimethylaminomethylene)decahydroquinoline (XV). The cyclization of (XV) with hydrazine in refluxing methanol affords 5-cyano-4,4a,5,6,7,8,8a,9-octahydro-1H-pyrazolo[3,4-g]quinoline (XVI), which by a reductive cleavage with Zn and acetic acid gives 4,4a,5,6,7,8,8a,9-octahydro-1H-pyrazolo[3,4-g]quinoline (XVII). Finally, this compound is alkylated with propionaldehyde (B) and sodium cyanoborohydride in methanol.

参考文献No.51471
标题:Quinpirole Hydrochloride
作者:Serradell, M.N.; Casta馿r, J.; Casta馿r, R.M.; Mannhold, R.
来源:Drugs Fut 1987,12(6),558
合成路线图解说明:

The reaction of 4-benzoyloxycyclohexanone (I) with pyrrolidine (II) by means of p-toluenesulfonic acid in refluxing benzene gives the corresponding enamine (III), which is cyclized with acrylamide (IV) in refluxing dioxane yielding the mixture of hexahydroquinolones (V) and (VI). Benzylation of this mixture with benzylbromide (A) and NaH in THF affords the mixture of N-benzylquinolones (VII) and (VIII), which is reduced with LiAlH4 to the mixture of N-benzylhexahydroquinolines (IX) and (X). The reduction of this mixture with sodium cyanoborohydride in THF affords trans-1-benzyl-6-hydroxydecahydro quinoline (XI), which by reaction with BN in CH2Cl2 is converted to trans-1-cyano-6-hydroxydecahydro quinoline (XII). Oxidation of (XII) with CrO3/pyridine in CH2Cl2 gives the corresponding quinolone (XIII), which by reaction with dimethylformamide dimethyl acetal (XIV) in refluxing benzene is converted to 1-cyano-6-oxo-7-(dimethylaminomethylene)decahydroquinoline (XV). The cyclization of (XV) with hydrazine in refluxing methanol affords 5-cyano-4,4a,5,6,7,8,8a,9-octahydro-1H-pyrazolo[3,4-g]quinoline (XVI), which by a reductive cleavage with Zn and acetic acid gives 4,4a,5,6,7,8,8a,9-octahydro-1H-pyrazolo[3,4-g]quinoline (XVII). Finally, this compound is alkylated with propionaldehyde (B) and sodium cyanoborohydride in methanol.

Drug Information Express,Drug R&D,Chemical Database,Patent Search.
Copyright © 2006-2026 Drug Future. All rights reserved.Contact Us