【药物名称】CL-277082
化学结构式(Chemical Structure):
参考文献No.875
标题:Antiatherosclerotic ureas and thioureas
作者:De Vries, V.G. (American Cyanamid Co.)
来源:BE 0900178; FR 2549473; GB 2149394; US 4623662
合成路线图解说明:

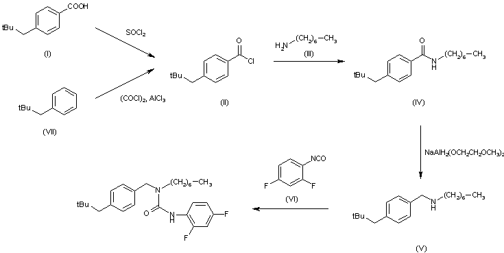
The reaction of 4-neopentylbenzoic acid (I) with SOCl2 in refluxing dichloromethane gives the corresponding acid chloride (II) , which is condensed with heptylamine (III) in dichloromethane to yield 4-neopentyl-N-heptylbenzamide (IV). The reduction of (IV) with di(2-methoxyethoxy)sodium aluminum hydride in refluxing toluene affords 4-neopentyl-N-heptylbenzylamine (V), which is finally condensed with 2,4-difluorophenyl isocyanate (VI) in hexane. Compound (II) can also be obtained from neopentylbenzene (VII) and oxalyl chloride in the presence of aluminum chloride.

参考文献No.51255
标题:CL-277082
作者:Casta馿r, J.; Prous, J.
来源:Drugs Fut 1987,12(6),527
合成路线图解说明:

The reaction of 4-neopentylbenzoic acid (I) with SOCl2 in refluxing dichloromethane gives the corresponding acid chloride (II) , which is condensed with heptylamine (III) in dichloromethane to yield 4-neopentyl-N-heptylbenzamide (IV). The reduction of (IV) with di(2-methoxyethoxy)sodium aluminum hydride in refluxing toluene affords 4-neopentyl-N-heptylbenzylamine (V), which is finally condensed with 2,4-difluorophenyl isocyanate (VI) in hexane. Compound (II) can also be obtained from neopentylbenzene (VII) and oxalyl chloride in the presence of aluminum chloride.

参考文献No.546830
标题:Potential antiatherosclerotic agents. 5. And acyl-CoA:cholesterol O-acyltransferase inhibitor with hypocholesterolemic activity.
作者:De Vries, V.G.; Schaffer, S.A.; Largis, E.E.; Dutia, M.D.; Wang, C.-H.; Bloom, J.D.; Katocs, A.S. Jr.
来源:J Med Chem 1986,291131
合成路线图解说明:

The reaction of 4-neopentylbenzoic acid (I) with SOCl2 in refluxing dichloromethane gives the corresponding acid chloride (II) , which is condensed with heptylamine (III) in dichloromethane to yield 4-neopentyl-N-heptylbenzamide (IV). The reduction of (IV) with di(2-methoxyethoxy)sodium aluminum hydride in refluxing toluene affords 4-neopentyl-N-heptylbenzylamine (V), which is finally condensed with 2,4-difluorophenyl isocyanate (VI) in hexane. Compound (II) can also be obtained from neopentylbenzene (VII) and oxalyl chloride in the presence of aluminum chloride.

Drug Information Express,Drug R&D,Chemical Database,Patent Search.
Copyright © 2006-2026 Drug Future. All rights reserved.Contact Us