【药物名称】Amosulalol hydrochloride, YM-09538, Lowgan
化学结构式(Chemical Structure):
参考文献No.42008
标题:Phenylethanolamine derivatives
作者:Fujikura, T.; et al. (Yamanouchi Pharmaceutical Co., Ltd.)
来源:DE 2843016; ES 474149; ES 481549; FR 2405931; GB 2006772
合成路线图解说明:

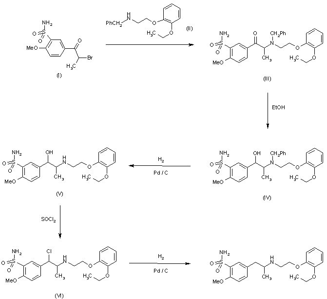
The condensation of 2-methoxy-5-(2-bromopropionyl)benzenesulfonamide (I) with N-benzyl-2-(2 ethoxyphenoxy)ethylamine (II) in refluxing butanone gives the tertiary amine (III), which is reduced with sodium in ethanol to the alcohol (IV). Debenzylation of (IV) with H2 over Pd/C in methanol affords the hydroxyamine (V), which by reaction with SOCl2 in acetonitrile is converted to the corresponding chloro derivative (VI). Finally, this compound is dechlorinated by hydrogenolysis with H2 over Pd/C in methanol.

合成路线图解说明:

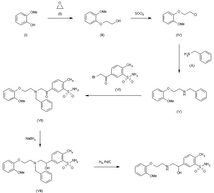
The condensation of 2-methoxyphenol (I) with ethylene oxide (II) gives 2-(2-methoxyphenoxy)ethanol (III), which is treated with SOCl2 to yield 2-(2-methoxyphenoxy)ethyl chloride (IV). The reaction of (IV) with benzylamine (A) gives N-[2-(2-methoxyphenoxy)ethyl]benzylamine (V), which is condensed with 2-methyl-5-bromoacetylbenzenesulfonamide (VI) affording N-[2-(2-methoxyphenoxy)ethyl]-N-[(4-methyl-3-aminosulfonylbenzoyl)methyl]benzylamine (VII). The reduction of (VII) with NaBH4 affords the corresponding protected carbinol (VIII), which is finally debenzylated by hydrogenation with H2 over Pd/C.

参考文献No.51232
标题:YM-09,538
作者:Serradell, M.N.; Blancafort, P.; Casta馿r, J.; Leeson, P.A.; Mealy, N.E.
来源:Drugs Fut 1981,6(7),425
合成路线图解说明:

The condensation of 2-methoxyphenol (I) with ethylene oxide (II) gives 2-(2-methoxyphenoxy)ethanol (III), which is treated with SOCl2 to yield 2-(2-methoxyphenoxy)ethyl chloride (IV). The reaction of (IV) with benzylamine (A) gives N-[2-(2-methoxyphenoxy)ethyl]benzylamine (V), which is condensed with 2-methyl-5-bromoacetylbenzenesulfonamide (VI) affording N-[2-(2-methoxyphenoxy)ethyl]-N-[(4-methyl-3-aminosulfonylbenzoyl)methyl]benzylamine (VII). The reduction of (VII) with NaBH4 affords the corresponding protected carbinol (VIII), which is finally debenzylated by hydrogenation with H2 over Pd/C.

参考文献No.800091
标题:Synthesis of 14C-labeled 5-[1-hydroxy-2-[2-(o-methoxyphenoxy)ethylamino]ethyl]-2-methylbenzenesulfonamide hydochloride (YM-09538)
作者:Arima, H.; Tamazawa, K.
来源:J Label Compd Radiopharm 1983,20(7),803-811
合成路线图解说明:

The condensation of 2-methoxyphenol (I) with ethylene oxide (II) gives 2-(2-methoxyphenoxy)ethanol (III), which is treated with SOCl2 to yield 2-(2-methoxyphenoxy)ethyl chloride (IV). The reaction of (IV) with benzylamine (A) gives N-[2-(2-methoxyphenoxy)ethyl]benzylamine (V), which is condensed with 2-methyl-5-bromoacetylbenzenesulfonamide (VI) affording N-[2-(2-methoxyphenoxy)ethyl]-N-[(4-methyl-3-aminosulfonylbenzoyl)methyl]benzylamine (VII). The reduction of (VII) with NaBH4 affords the corresponding protected carbinol (VIII), which is finally debenzylated by hydrogenation with H2 over Pd/C.

Drug Information Express,Drug R&D,Chemical Database,Patent Search.
Copyright © 2006-2026 Drug Future. All rights reserved.Contact Us