【药物名称】CL-259763
化学结构式(Chemical Structure):
参考文献No.51149
标题:CL-259,763
作者:Durr, F.E.; Lang, S.A. Jr.; Shang Wang, B.; Ruszala-Mallon, V.; Lin, Y.-i.; Fields, T.L.
来源:Drugs Fut 1987,12(5),431
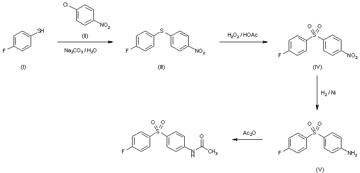
合成路线图解说明:

1) The reaction of p-fluorothiophenol (I) with p-chloronitrobenzene (II) in 50% aqueous ethanol in the presence of sodium carbonate gives p-fluorophenyl-p-nitrophenyl sulfide (III), which is then oxidized with 30% aqueous hydrogen peroxide in glacial acetic acid to give the corresponding sulfone (IV). The catalytic reduction of the sulfone (IV) with Raney Nickel in p-dioxane affords p-(p-fluorophenylsulfonyl)aniline (V), which is then acetylated with acetic anhydride in tetrahydrofuran to give title compound.

合成路线图解说明:

2) The reaction of fluorobenzene (VI) with N-acetylsulfanilyl chloride (VII) in the presence of anhydrous aluminum chloride gives the desired acetamide in one step.

Drug Information Express,Drug R&D,Chemical Database,Patent Search.
Copyright © 2006-2026 Drug Future. All rights reserved.Contact Us