【药物名称】Broxaterol, Z-1170, Summair
化学结构式(Chemical Structure):
参考文献No.1364
标题:1-(3-Bromo-isoxazol-5-yl)-2-tert-butylaminoethanol
作者:Chiarino, D.; Della Bella, D. (Zambon Group SpA)
来源:JP 1980108862; US 4276299
合成路线图解说明:

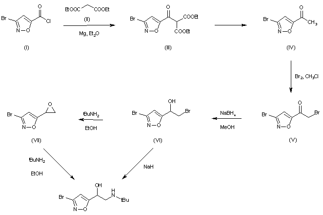
The condensation of 3-bromo-5-isoxazolylcarbonyl chloride (I) with diethyl malonate (II) gives the corresponding malonyl derivative (III), which is submitted to a decarboxylative hydrolysis yielding 5-acetyl-3-bromoisoxazole (IV). Bromination of (IV) affords 5-(bromoacetyl)-3-bromoisoxazole (V), which is reduced to 2-bromo-1-(3-bromo-5-isoxazolyl)ethanol (VI). Title compound is obtained by reaction of (VI) with tert-butylamine directly or via oxirane (VII), which is obtained by reaction of (VI) with sodium hydride, and finally by reaction of (VII) with tert-butylamine.

参考文献No.51146
标题:Broxaterol
作者:Casta馿r, J.; Prous, J.
来源:Drugs Fut 1987,12(2),107
合成路线图解说明:

The condensation of 3-bromo-5-isoxazolylcarbonyl chloride (I) with diethyl malonate (II) gives the corresponding malonyl derivative (III), which is submitted to a decarboxylative hydrolysis yielding 5-acetyl-3-bromoisoxazole (IV). Bromination of (IV) affords 5-(bromoacetyl)-3-bromoisoxazole (V), which is reduced to 2-bromo-1-(3-bromo-5-isoxazolyl)ethanol (VI). Title compound is obtained by reaction of (VI) with tert-butylamine directly or via oxirane (VII), which is obtained by reaction of (VI) with sodium hydride, and finally by reaction of (VII) with tert-butylamine.

参考文献No.546828
标题:New isoxazole derivatives with a potent and select
作者:Fantucci, M.; Sala, R.; Chiarino, D.; Frigeni, V.; Della Bella, D.; Carenzi, A.
来源:Farm Sci Ed 1986,41(6),440
合成路线图解说明:

The condensation of 3-bromo-5-isoxazolylcarbonyl chloride (I) with diethyl malonate (II) gives the corresponding malonyl derivative (III), which is submitted to a decarboxylative hydrolysis yielding 5-acetyl-3-bromoisoxazole (IV). Bromination of (IV) affords 5-(bromoacetyl)-3-bromoisoxazole (V), which is reduced to 2-bromo-1-(3-bromo-5-isoxazolyl)ethanol (VI). Title compound is obtained by reaction of (VI) with tert-butylamine directly or via oxirane (VII), which is obtained by reaction of (VI) with sodium hydride, and finally by reaction of (VII) with tert-butylamine.

Drug Information Express,Drug R&D,Chemical Database,Patent Search.
Copyright © 2006-2026 Drug Future. All rights reserved.Contact Us