【药物名称】Onapristone, ZK-98299
化学结构式(Chemical Structure):
参考文献No.9709
标题:Pyrazolopyridine cpds. and processes for preparation thereof
作者:Shiokawa, Y.; Akahane, A.; Katayama, H.; Mitsunaga, T. (Fujisawa Pharmaceutical Co., Ltd.)
来源:AU 8817602; EP 0299209; JP 1989045385; US 4925849; US 4994453; US 5087629; US 5102878; US 5179103; US 5296490
合成路线图解说明:

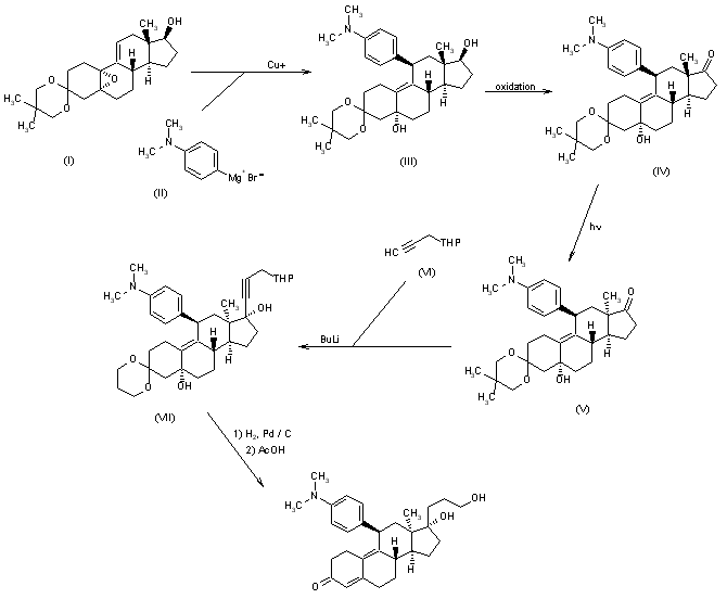
The Grignard reaction of the protected epoxide (I) with 4-(dimethylamino)phenylmagnesium bromide (II) gives the 11-substituted compound (III), which is submitted to an Oppenhauer oxidation with cyclohexanone and aluminum isopropoxide yielding the 17-keto derivative (IV). The photochemical epimerization of the 13beta-methyl of (IV) with a high pressure mercury lamp in dioxane affords the epimer (V), which is condensed with 1-tetrahydropyranyloxy-2-propyne (VI) by means of butyllithium in THF to give the acetylenic alcohol (VII). Finally, this compound is reduced with hydrogen over Pd/C in ethanol and deprotected and dehydrated by treatment with hot aqueous acetic acid.

合成路线图解说明:

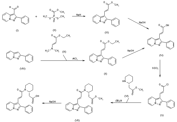
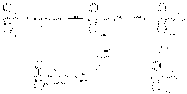
The Wittig condensation of 2-phenylpyrazolo[1,5-a]pyridine-3-carboxaldehyde (I) with trimethylphosphonoacetic acid methyl ester (II) by means of NaH in hot toluene gives 3(E)-(2-phenylpyrazolo[1,5-a]pyridin-3-yl)acrylic acid methyl ester (III), which is hydrolyzed with NaOH in methanol - water yielding the corresponding free acid (IV). The reaction of (IV) with SOCl2 in DMF affords the acyl chloride (V), which is finally condensed with 2(R)-(2-hydroxyethyl)piperidine (VI) by means of bis(trimethylsilyl)acetamide and triethylamine in dichloromethane.

合成路线图解说明:

FK-352 can be obtained by two related ways: 1) The Wittig condensation of 2-phenylpyrazolo[1,5-a]pyridine-3-carbaldehyde (I) with trimethyl phosphonoacetate (II) by means of NaH in hot toluene gives 3-(2-phenylpyrazolo[1,5-a]pyridin-3-yl)-2(E)-propenoic acid methyl ester (III), which by hydrolysis with aqueous NaOH yields the expected free acid (IV) (1). The reaction of (IV) with SOCl2 and DMF in dichloromethane affords the corresponding acyl chloride (V), which is condensed with 2-[2(R)-piperidinyl]acetic acid ethyl ester (VI) by means of triethylamine in dichloromethane affording the acylated piperidine (VII). Finally, this compound is hydrolyzed with NaOH in refluxing methanol. 2) The free acid precursor (IV) can also be obtained by condensation of 2-phenylpyrazolo[1,5-a]pyridine (VIII) with 3-(dimethylamino)acrylic acid ethyl ester (IX) by means of AlCl3 in methylene chloride giving the ethyl ester (X), which is hydrolyzed to the free acid (IV) by treatment with aqueous NaOH.

参考文献No.84282
标题:New steroids with antiprogestational and antiglucocorticoid activities
作者:Neef, G.; Beier, S.; Elger, W.; Henderson, D.; Wiechert, R.
来源:Steroids 1984,44(4),349-72
合成路线图解说明:

The Grignard reaction of the protected epoxide (I) with 4-(dimethylamino)phenylmagnesium bromide (II) gives the 11-substituted compound (III), which is submitted to an Oppenhauer oxidation with cyclohexanone and aluminum isopropoxide yielding the 17-keto derivative (IV). The photochemical epimerization of the 13beta-methyl of (IV) with a high pressure mercury lamp in dioxane affords the epimer (V), which is condensed with 1-tetrahydropyranyloxy-2-propyne (VI) by means of butyllithium in THF to give the acetylenic alcohol (VII). Finally, this compound is reduced with hydrogen over Pd/C in ethanol and deprotected and dehydrated by treatment with hot aqueous acetic acid.

参考文献No.309001
标题:Onapristone
作者:Pento, J.; Casta馿r, J.
来源:Drugs Fut 1995,20(8),784
合成路线图解说明:

The Grignard reaction of the protected epoxide (I) with 4-(dimethylamino)phenylmagnesium bromide (II) gives the 11-substituted compound (III), which is submitted to an Oppenhauer oxidation with cyclohexanone and aluminum isopropoxide yielding the 17-keto derivative (IV). The photochemical epimerization of the 13beta-methyl of (IV) with a high pressure mercury lamp in dioxane affords the epimer (V), which is condensed with 1-tetrahydropyranyloxy-2-propyne (VI) by means of butyllithium in THF to give the acetylenic alcohol (VII). Finally, this compound is reduced with hydrogen over Pd/C in ethanol and deprotected and dehydrated by treatment with hot aqueous acetic acid.

参考文献No.315375
标题:Synthesis of antiprogestational steroids
作者:Wiechert, R.; Neef, G.
来源:J Steroid Biochem 1987,27(4-6),851
合成路线图解说明:

The Grignard reaction of the protected epoxide (I) with 4-(dimethylamino)phenylmagnesium bromide (II) gives the 11-substituted compound (III), which is submitted to an Oppenhauer oxidation with cyclohexanone and aluminum isopropoxide yielding the 17-keto derivative (IV). The photochemical epimerization of the 13beta-methyl of (IV) with a high pressure mercury lamp in dioxane affords the epimer (V), which is condensed with 1-tetrahydropyranyloxy-2-propyne (VI) by means of butyllithium in THF to give the acetylenic alcohol (VII). Finally, this compound is reduced with hydrogen over Pd/C in ethanol and deprotected and dehydrated by treatment with hot aqueous acetic acid.

Drug Information Express,Drug R&D,Chemical Database,Patent Search.
Copyright © 2006-2026 Drug Future. All rights reserved.Contact Us