【药物名称】Dexindoprofen
化学结构式(Chemical Structure):
参考文献No.803952
标题:Indoprofen
作者:Casta馿r, J.; Arrigoni, Martelli, E.
来源:Drugs Fut 1976,1(5),242
合成路线图解说明:

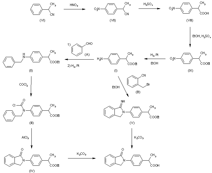
It can be obtained in two different ways, both starting from ethyl alpha-(4-aminophenyl)propionate (I): 1) The condensation of the amino compound (I) with benzaldehyde (A), followed by reduction of the Schiff base with H2 over Pt in ethanol gives ethyl alpha-(benzylaminophenyl)propionate (II), which by reaction with phosgene in toluene affords ethyl alpha-[N-chlorocarbonyl-(4-benzylaminophenyl)]propionate (III); the cyclization of this compound with AlCl3 in CH2Cl2 yields ethyl alpha-[4-(1-oxo-2-iso-indolinyl)phenyl]propionate (IV), which is finally saponified with K2CO3 in ethanol - water. 2) The cyclization of the amino compound (I) with 2-cyanobenzyl bromide (B) in refluxing ethanol affords ethyl alpha-[4-(1-imino-2-iso-indolinyl)phenyl]propionate (V). which is finally hydrolyzed and saponified with K2CO3 as before. The starting aminoester (I) is obtained as follows: The nitration of alpha-phenylpropionitrile (VI) gives alpha-(4-nitrophenyl)propionitrile (VII), which is hydrolyzed with H2SO4 to alpha-(4-nitrophenyl)propionic acid (VIII). Esterification of this acid with ethanol and H2SO4 yields ethyl alpha-(4-nitrophenyl)propionate (IX), which is finally reduced with H2 over Pd/C in ethanol giving the aminoester (I), b.p.(0.5mm) 125 C.

参考文献No.803953
标题:New analgesic-anti-inflammatory drugs. 1-oxo-2-substituted isoindoline derivatives
作者:Nanini, G.; et al.
来源:Arzneim-Forsch Drug Res 1973,23(Suppl. 3),1090
合成路线图解说明:

It can be obtained in two different ways, both starting from ethyl alpha-(4-aminophenyl)propionate (I): 1) The condensation of the amino compound (I) with benzaldehyde (A), followed by reduction of the Schiff base with H2 over Pt in ethanol gives ethyl alpha-(benzylaminophenyl)propionate (II), which by reaction with phosgene in toluene affords ethyl alpha-[N-chlorocarbonyl-(4-benzylaminophenyl)]propionate (III); the cyclization of this compound with AlCl3 in CH2Cl2 yields ethyl alpha-[4-(1-oxo-2-iso-indolinyl)phenyl]propionate (IV), which is finally saponified with K2CO3 in ethanol - water. 2) The cyclization of the amino compound (I) with 2-cyanobenzyl bromide (B) in refluxing ethanol affords ethyl alpha-[4-(1-imino-2-iso-indolinyl)phenyl]propionate (V). which is finally hydrolyzed and saponified with K2CO3 as before. The starting aminoester (I) is obtained as follows: The nitration of alpha-phenylpropionitrile (VI) gives alpha-(4-nitrophenyl)propionitrile (VII), which is hydrolyzed with H2SO4 to alpha-(4-nitrophenyl)propionic acid (VIII). Esterification of this acid with ethanol and H2SO4 yields ethyl alpha-(4-nitrophenyl)propionate (IX), which is finally reduced with H2 over Pd/C in ethanol giving the aminoester (I), b.p.(0.5mm) 125 C.

Drug Information Express,Drug R&D,Chemical Database,Patent Search.
Copyright © 2006-2026 Drug Future. All rights reserved.Contact Us