【药物名称】Rogletimide, Pyridoglutethimide, PG
化学结构式(Chemical Structure):
参考文献No.1277
标题:2,6-Dioxopiperidine derivs., their preparation and pharmaceutical compsns. containing them
作者:Foster, A.B.; Jarman, M.; Taylor, G.N.; Kwan, C.-S. (Institute of Cancer Research)
来源:EP 0147121; GB 2151226; JP 1986500613; US 5071857; WO 8502618
合成路线图解说明:

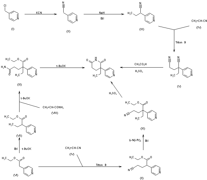
1) The reaction of 4-(chloromethyl)pyridine (I) with KCN in refluxing methanol gives 2-(4-pyridyl)acetonitrile (II), which is alkylated with ethyl iodide and sodium hydride in DMF, yielding 2-(4-pyridyl)butyronitrile (III). The condensation of (III) with acrylonitrile (IV) by means of Triton B in tert-butanol affords 2-cyano-2-(4-pyridyl)hexanenitrile (V), which is finally cyclized with concentrated H2SO4 in refluxing acetic acid. 2) The alkylation of 2-(4-pyridyl)acetic acid ethyl ester (VI) with ethyl iodide and potassium tert-butoxide gives 2-(4-pyridyl)butanoic acid ethyl ester (VII), which is condensed with acrylamide (VIII) by means of potassium tert-butoxide, yielding 4-carbamoyl-2-ethyl-2-(4-pyridyl)butanoic acid ethyl ester (IX). Finally, this compound is cyclized in the presence of potassium tert-butoxide. 3) The condensation of ester (VI) with acrylonitrile (IV) in the presence of Triton B gives 4-cyano-2-(4-pyridyl)butanoic acid ethyl ester (X), which is alkylated with ethyl iodide and lithium diisopropylamide yielding 4-cyano-2-ethyl-2-(4-pyridyl)butanoic acid ethyl ester (XI). Finally, this compound is cyclized with concentrated H2SO4 in refluxing acetic acid.

参考文献No.183200
标题:Rogletimide
作者:Prous, J.; Casta馿r, J.
来源:Drugs Fut 1992,17(9),791
合成路线图解说明:

4) The (R)- and (S)-enantiomers of title product are obtained as follows: the trans-esterification of 2-(4-pyridyl)acetic acid methyl ester (XII) with the chiral alcohol (Oppolzer's camphor) (XIII) by means of butyllithium in THF gives the corresponding ester (XIV), which is alkylated with ethyl iodide and potassium hydride in THF yielding a mixture of the corresponding alkylated esters (XVR) and (XVS). The condensation of this mixture with acrylonitrile (IV) by means of potassium tert-butoxide in tert-butanol affords a mixture of the two diastereomeric nitriles (XVIR) and (XVIS), which are easily separable by column chromatography in silica gel. Both isolated compounds are then cyclized with sulfuric acid in refluxing acetic acid.

参考文献No.189548
标题:A concise synthesis of racemic pyridoglutethimide and its resolution using chiral stationary phase HPLC
作者:Markson, A.J.; Boss, A.M.; Clissold, D.W.; Thickitt, C.P.; Mann, J.
来源:Tetrahedron 1989,45(18),6011
合成路线图解说明:

1) The reaction of 4-(chloromethyl)pyridine (I) with KCN in refluxing methanol gives 2-(4-pyridyl)acetonitrile (II), which is alkylated with ethyl iodide and sodium hydride in DMF, yielding 2-(4-pyridyl)butyronitrile (III). The condensation of (III) with acrylonitrile (IV) by means of Triton B in tert-butanol affords 2-cyano-2-(4-pyridyl)hexanenitrile (V), which is finally cyclized with concentrated H2SO4 in refluxing acetic acid. 2) The alkylation of 2-(4-pyridyl)acetic acid ethyl ester (VI) with ethyl iodide and potassium tert-butoxide gives 2-(4-pyridyl)butanoic acid ethyl ester (VII), which is condensed with acrylamide (VIII) by means of potassium tert-butoxide, yielding 4-carbamoyl-2-ethyl-2-(4-pyridyl)butanoic acid ethyl ester (IX). Finally, this compound is cyclized in the presence of potassium tert-butoxide. 3) The condensation of ester (VI) with acrylonitrile (IV) in the presence of Triton B gives 4-cyano-2-(4-pyridyl)butanoic acid ethyl ester (X), which is alkylated with ethyl iodide and lithium diisopropylamide yielding 4-cyano-2-ethyl-2-(4-pyridyl)butanoic acid ethyl ester (XI). Finally, this compound is cyclized with concentrated H2SO4 in refluxing acetic acid.

参考文献No.189555
标题:Analogues of animoglutethimide: Selective inhibition of aromatase
作者:Foster, A.B.; Jarman, M.; Leung, C.-S.; Rowlands, M.G.; Taylor, G.N.; Plevey, R.G.; Sampson, P.
来源:J Med Chem 1989,28(2),200
合成路线图解说明:

1) The reaction of 4-(chloromethyl)pyridine (I) with KCN in refluxing methanol gives 2-(4-pyridyl)acetonitrile (II), which is alkylated with ethyl iodide and sodium hydride in DMF, yielding 2-(4-pyridyl)butyronitrile (III). The condensation of (III) with acrylonitrile (IV) by means of Triton B in tert-butanol affords 2-cyano-2-(4-pyridyl)hexanenitrile (V), which is finally cyclized with concentrated H2SO4 in refluxing acetic acid. 2) The alkylation of 2-(4-pyridyl)acetic acid ethyl ester (VI) with ethyl iodide and potassium tert-butoxide gives 2-(4-pyridyl)butanoic acid ethyl ester (VII), which is condensed with acrylamide (VIII) by means of potassium tert-butoxide, yielding 4-carbamoyl-2-ethyl-2-(4-pyridyl)butanoic acid ethyl ester (IX). Finally, this compound is cyclized in the presence of potassium tert-butoxide. 3) The condensation of ester (VI) with acrylonitrile (IV) in the presence of Triton B gives 4-cyano-2-(4-pyridyl)butanoic acid ethyl ester (X), which is alkylated with ethyl iodide and lithium diisopropylamide yielding 4-cyano-2-ethyl-2-(4-pyridyl)butanoic acid ethyl ester (XI). Finally, this compound is cyclized with concentrated H2SO4 in refluxing acetic acid.

参考文献No.189556
标题:Analogues of 3-ethyl-3-(4-pyridyl)piperidine-2,6-dione as selective inhibitors of aromatase: Derivatives with variable 1-alkyl and 3-alkyl substituents
作者:Leung, C.-S.; Rowlands, M.G.; Jarman, M.; Foster, A.B.; Griggs, L.J.; Wilman, D.E.V.
来源:J Med Chem 1987,30(9),1550
合成路线图解说明:

1) The reaction of 4-(chloromethyl)pyridine (I) with KCN in refluxing methanol gives 2-(4-pyridyl)acetonitrile (II), which is alkylated with ethyl iodide and sodium hydride in DMF, yielding 2-(4-pyridyl)butyronitrile (III). The condensation of (III) with acrylonitrile (IV) by means of Triton B in tert-butanol affords 2-cyano-2-(4-pyridyl)hexanenitrile (V), which is finally cyclized with concentrated H2SO4 in refluxing acetic acid. 2) The alkylation of 2-(4-pyridyl)acetic acid ethyl ester (VI) with ethyl iodide and potassium tert-butoxide gives 2-(4-pyridyl)butanoic acid ethyl ester (VII), which is condensed with acrylamide (VIII) by means of potassium tert-butoxide, yielding 4-carbamoyl-2-ethyl-2-(4-pyridyl)butanoic acid ethyl ester (IX). Finally, this compound is cyclized in the presence of potassium tert-butoxide. 3) The condensation of ester (VI) with acrylonitrile (IV) in the presence of Triton B gives 4-cyano-2-(4-pyridyl)butanoic acid ethyl ester (X), which is alkylated with ethyl iodide and lithium diisopropylamide yielding 4-cyano-2-ethyl-2-(4-pyridyl)butanoic acid ethyl ester (XI). Finally, this compound is cyclized with concentrated H2SO4 in refluxing acetic acid.

参考文献No.802140
标题:Synthesis of the aromatase inhibitor 3-ethyl-3-(4-pyridyl)piperidine-2,6-dione and its enantiomers
作者:Webster, G.; Thickitt, C.P.; Rowlands, M.G.; Neidle, S.; Jarman, M.; Clissold, D.W.; McCague, R.; Mann, J.
来源:J Chem Soc - Perkins Trans I 1989,196
合成路线图解说明:

4) The (R)- and (S)-enantiomers of title product are obtained as follows: the trans-esterification of 2-(4-pyridyl)acetic acid methyl ester (XII) with the chiral alcohol (Oppolzer's camphor) (XIII) by means of butyllithium in THF gives the corresponding ester (XIV), which is alkylated with ethyl iodide and potassium hydride in THF yielding a mixture of the corresponding alkylated esters (XVR) and (XVS). The condensation of this mixture with acrylonitrile (IV) by means of potassium tert-butoxide in tert-butanol affords a mixture of the two diastereomeric nitriles (XVIR) and (XVIS), which are easily separable by column chromatography in silica gel. Both isolated compounds are then cyclized with sulfuric acid in refluxing acetic acid.

Drug Information Express,Drug R&D,Chemical Database,Patent Search.
Copyright © 2006-2026 Drug Future. All rights reserved.Contact Us