【药物名称】Cyclohexane Alkenoic acid, Cicloxolone, BX-363A(disodium salt), Viroxolone
化学结构式(Chemical Structure):
参考文献No.1238
标题:Diastereoisomers of glycyrrhetinic acid derivs.
作者:Maile, G.K.; Nalbantoglu, L.K.; Vanstone, A.E. (Biorex Laboratories Ltd.)
来源:FR 2550537; GB 2144746
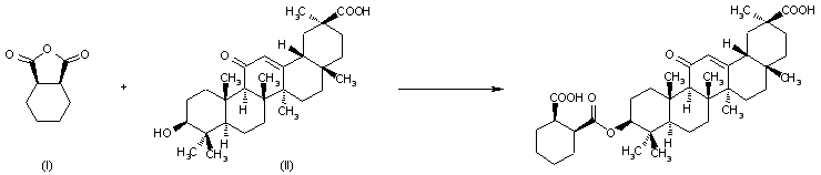
合成路线图解说明:

By reaction of cis-1,2-cyclohexanedicarboxylic anhydride (I) with 18-beta-glycyrrhetinic acid (II) in refluxing anhydrous pyridine.

参考文献No.51021
标题:Cicloxone
作者:Hopkins, S.J.; Casta馿r, J.
来源:Drugs Fut 1985,10(10),811
合成路线图解说明:

By reaction of cis-1,2-cyclohexanedicarboxylic anhydride (I) with 18-beta-glycyrrhetinic acid (II) in refluxing anhydrous pyridine.

Drug Information Express,Drug R&D,Chemical Database,Patent Search.
Copyright © 2006-2026 Drug Future. All rights reserved.Contact Us