【药物名称】Luzopeptin E2
化学结构式(Chemical Structure):
参考文献No.589061
标题:Total synthesis of luzopeptin E2
作者:Ciufolini, M.A.; et al.
来源:Angew Chem. Int Ed Engl 2000,39(14),2493
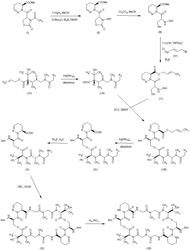
合成路线图解说明:

The reaction of the acetyl-protected dipeptide (I) with N2H4 in acetonitrile followed by treatment with Boc2O, 4-dimethylaminopyridine (DMAP) and Et3N in dichloromethane affords the Boc-protected dipeptide (II). Oxazolone cleavage of (II) by means of Cs2CO3 in MeOH yields the methyl ester (III), which is converted into the crotyl ester (V) by a first hydrolysis with LiOH in THF/H2O followed by treatment with crotyl bromide (IV) and Et3N in acetone. Removal of the allyl moiety from peptide (VI) by means of Pd(PPh3)4 and dimedone in THF allows obtention of the carboxylic acid derivative (VII), which is then esterified with (V) by means of dicyclohexylcarbodiimide (DCC) and DMAP in CH2Cl2 to furnish (VIII). Removal of the crotyl moiety from (VIII) by means of Pd(PPh3)4 and dimedone in THF gives (IX), whose azide group is reduced with PPh3 in THF/H2O to afford amine (X). Self-assembling of (X) by spontaneous cyclodimerization when treated with 1-ethyl-3-[3-(dimethylamino)propyl]carbodiimide (DEC) and 1-hydroxy-7-aza-1H-benzotriazole (HOAt) produces dimer (XI), which is reduced by hydrogenation over PtO2 in EtOAc to provide (XII).

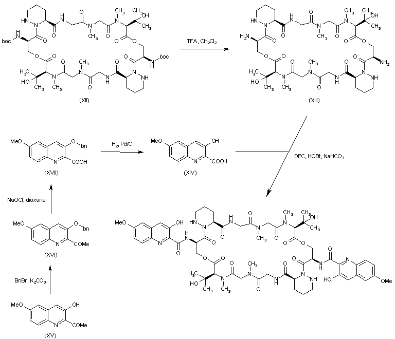
合成路线图解说明:

Boc groups of (XII) are cleaved with TFA in CH2Cl2 to furnish intermediate (XIII). Quinoline (XV) is protected with benzyl bromide and K2CO3 in acetone to give the benzyl-protected derivative (XVI), which is converted into the carboxylic acid (XVII) by treatment with NaOCl in dioxane. Debenzylation of (XVII) by hydrogenolysis over Pd/C in EtOAc yields intermediate (XIV), which finally acylates the primary amino groups in (XIII) by means of DEC, 1-hydroxy-1H-benzotriazole (HOBt) and NaHCO3 in DMF.

Drug Information Express,Drug R&D,Chemical Database,Patent Search.
Copyright © 2006-2026 Drug Future. All rights reserved.Contact Us