【药物名称】Irinotecan hydrochloride, U-101440E(hydrate), NSC-616348, DQ-2805, CPT-11, Camptosar, Topotecin, Campto
化学结构式(Chemical Structure):
参考文献No.1962
标题:New camptothecin derivs. and process for preparing same
作者:Miyasaka, T.; Mutai, M.; Nokata, K.; Sawada, S.; Sugino, E. (Yakult Honsha Co., Ltd.)
来源:EP 0137145; JP 1985019790
合成路线图解说明:

The reaction of 7-ethyl-10-hydroxycamptothecin (I) with phosgene gives 7-ethyl-10-(chlorocarbonyloxy)camptothecin (II), which is then condensed with 4-(1-piperidyl)piperidine.

合成路线图解说明:

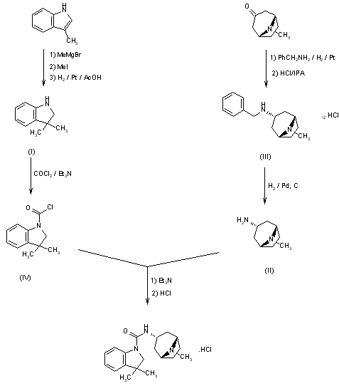
The target compound has been obtained by condensation of 3.3-dimethylindoline-1-carbonyl chloride (IV) with endo-8-methyl-8-azabicyclo[3.2.1]octan-3-amine (II) by means of triethylamine followed by salification with HCl. The intermediates (II) and (IV) have been obtained as follows: A) The metthylation of 3-methylindole (III) with methylmagnesium iodid / methyl iodid, followed by hydrogenation with H2/Pt in acetic acid gives 3,3-dimethylindoline (I), which is then treated with phosghene / Et3N to afford intermediate (IV). B) The reductocondensation of 8-methyl-para-bicyclo[3.2.1]octan-3-one (V) with benzylamine and H2/Pt gives the secondary benzylamine (VI), which is finally deprotected by hydrogenation over Pd/C to give intermediate (II).

参考文献No.50861
标题:Benzimidazole vascular damaging agents
作者:Davis, P.D. (Angiogene Pharmaceuticals Ltd.)
来源:EP 1140078; WO 0041669
合成路线图解说明:

The reaction of 7-ethyl-10-hydroxycamptothecin (I) with phosgene gives 7-ethyl-10-(chlorocarbonyloxy)camptothecin (II), which is then condensed with 4-(1-piperidyl)piperidine.

合成路线图解说明:

The condensation between 4-(acetylamino)thiophenol (I) and 5-chloro-2-nitroaniline (II) produced the diaryl sulfide (III). Nitro group reduction in (III) employing SnCl2 gave the phenylenediamine (IV), which was cyclized to the benzimidazole (VI) upon treatment with N,N'-bis(methoxycarbonyl)-S-methylisothiourea (V). Hydrolysis of the acetamido group of (VI) with HCl in MeOH afforded aniline (VII). This was acylated with N-Boc-alanine (VIII) in the presence of EDC to yield amide (IX). The N-Boc protecting group of (IX) was finally removed by treatment with trifluoroacetic acid.

参考文献No.154641
标题:Synthesis and antitumor activity of 20(S)-camptothecin derivatives: Carbamate-linked, water-soluble derivatives of 7-ethyl-10-hydroxycamptothecin
作者:Nokata, K.-I.; Furuta, T.; Yokokura, T.; Okajima, S.; Sawada, S.; Sugino, E.; Miyasaka, T.; Aiyama, R.; Yamaguchi, K.
来源:Chem Pharm Bull 1991,39(6),1446-54
合成路线图解说明:

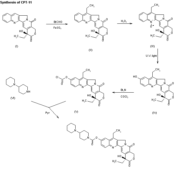
A more complete synthesis for CPT-11 has been reported: The reaction of camptothecin (I) with propionaldehyde and FeSO4 in water gives 7-ethylcamptothecin (II), which is oxidized with H2O2 in hot acetic acid yielding 7-ethylcamptothecin 1-oxide (III). The isomerization of (III) with UV light (high-pressure Hg lamp) in dioxane-1 N H2SO4 affords 7-ethyl-10-hydroxycamptothecin (IV), which is treated with phosgene and triethylamine in dioxane to give the corresponding chlorocarbonyl derivative (V). Finally, this compound is condensed with 4-piperidinopiperidine (VI) by means of pyridine in dichloromethane.

参考文献No.435179
标题:Practical asymmetric synthesis of (S)-4-ethyl-7,8-dihydro-4-hydroxy-1H-pyrano[3,4-f]indolizine-3,6,10(4H)-trione, a key intermediate for the synthesis of irinotecan and other camptothecin analogs
作者:Ashford, S.W.; Sih, J.C.; Gu, R.L.; Henegar, K.E.; Baughman, T.A.
来源:J Org Chem 1997,62(19),6588
合成路线图解说明:

A new asymmetric synthesis of irinotecan has been reported: The reaction of 2,6-dihydroxypyridine-4-carboxylic acid (I) with hot POCl3 and trimethylammonium chloride gives 2,6-dichloropyridine-4-carboxylic acid (II), which by a Grignard condensation with ethylmagnesium bromide in THF is converted into the propanone (III). The ketalization of (III) with ethylene glycol and trimethylsilyl chloride (TMS-Cl) affords the dioxolane (IV), which by reaction with sodium methoxide in refluxing methanol gives the monomethoxy-pyridine derivative (V). The carbonylation of (V) with butyllithium and DMF affords the pyridine-carbaldehyde (VI), which is reduced to the methanol (VII) with NaBH4. The protection of the hydroxy group of (VII) with benzyl bromide and potassium tert-butoxide in THF affords the benzyl ether (VIII), which is treated with CO, K2CO3, palladium acetate and 1,3-bis(diphenylphosphino)propane (DPPP) in propanol/DMF giving the propyl ester (IX). The treatment of (IX) with trifluoroacetic acid yields the propanone (X), which is treated with methyltriphenylphosphonium bromide and potassium bis(trimethylsilyl)amide (KHMDS) in DMF to afford the expected methylene derivative (XI). The oxidation of (XI) with OsO4 in tert-butanol gives the racemic diol (XII), which is submitted to optical resolution with PS-30 catalyst (Pseudomonas cepaica lipase over Celite 521) to give the corresponding (S)-enantiomer (XIII). The oxidation of (XIII) with NaOCl affords the 2(S)-hydroxybutyraldehyde (XIV), which is submitted to cyclization by debenzylation with H2 over Pd/C in methanol giving the cyclized diol (XV). The oxidation of (XV) with NaOCl in dichloromethane affords the hydroxylactone (XVI), which is treated with trimethylsilyl chloride and NaI to give the pyridone (XVII). A new cyclization of (XVII) with tert-butyl acrylate (XVIII) by means of Cs2CO3 in DMSO yield the tricyclic tert-butyl ester (XIX), which is decarboxylated with trifluoroacetic acid in refluxing toluene to afford the tricyclic trione (XX). The cyclization of (XX) with 2-amino-5-hydroxypropiophenone (XXI) by means of p-toluenesulfonic acid in hot toluene/acetic acid gives the camptothecin derivative (XXII), which is finally acylated with 4-(1-piperidyl)piperidine-1-carbonyl chloride (XXIII) in pyridine.

Drug Information Express,Drug R&D,Chemical Database,Patent Search.
Copyright © 2006-2026 Drug Future. All rights reserved.Contact Us