【药物名称】Ritanserin, R-55667, Tiserton
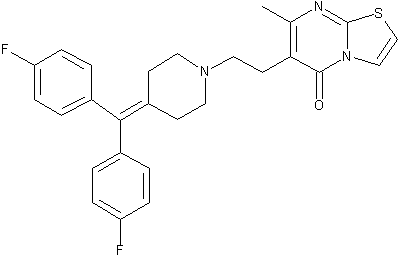
化学结构式(Chemical Structure):
参考文献No.1068
标题:Novel ((bis(aryl)methylene)-1-piperidinyl)alkyl-pyrimidinones
作者:Kennis, L.E.J.; Mertens, J.C.; Vandenberk, J. (Janssen Pharmaceutica NV)
来源:EP 0110435; ES 8601965; US 4485107
合成路线图解说明:

The Grignard condensation of ethyl 1-benzyl-piperidine-4-carboxylate (I) with 4-fluorophenylmagnesium bromide (II) in THF gives a-bis(4-fluorophenyl)-1-benzylpiperidine-4-methanol (III), which is dehydrated with HCl in refluxing acetic acid yielding 1-benzyl-4-[bis(4 fluorophenyl)methylene]piperidine (IV). Elimination of the benzyl group of (IV) by hydrogenation with H2 over rhodium/carbon in methanol affords 4-[bis(4 fluorophenyl)metlylene] piperidine (V), which is finally condensed with 6-(2-chloroethyl)-7-methyl 5H thiazolo[3,2-a]pyrimidin-5-one (VI) by means of Na2CO3 and KI lo refluxing 4-methyl-2-pentanone. Compound (VI) is obtained by cyclocondensation of 2-thiazolylamine (VII) with 3 acetyl 4,5 dihydro-2(3H)furanone (VIII) by means of aqueous concentrated HCl in refluxing toluene.

参考文献No.50826
标题:Ritanserin
作者:Prous, J.; Casta馿r, J.
来源:Drugs Fut 1986,11(5),391
合成路线图解说明:

The Grignard condensation of ethyl 1-benzyl-piperidine-4-carboxylate (I) with 4-fluorophenylmagnesium bromide (II) in THF gives a-bis(4-fluorophenyl)-1-benzylpiperidine-4-methanol (III), which is dehydrated with HCl in refluxing acetic acid yielding 1-benzyl-4-[bis(4 fluorophenyl)methylene]piperidine (IV). Elimination of the benzyl group of (IV) by hydrogenation with H2 over rhodium/carbon in methanol affords 4-[bis(4 fluorophenyl)metlylene] piperidine (V), which is finally condensed with 6-(2-chloroethyl)-7-methyl 5H thiazolo[3,2-a]pyrimidin-5-one (VI) by means of Na2CO3 and KI lo refluxing 4-methyl-2-pentanone. Compound (VI) is obtained by cyclocondensation of 2-thiazolylamine (VII) with 3 acetyl 4,5 dihydro-2(3H)furanone (VIII) by means of aqueous concentrated HCl in refluxing toluene.

Drug Information Express,Drug R&D,Chemical Database,Patent Search.
Copyright © 2006-2026 Drug Future. All rights reserved.Contact Us