【药物名称】Flosequinan, BTS-49465, Manoplax
化学结构式(Chemical Structure):
参考文献No.1053
标题:4-Quinolinones having antihypertensive activity
作者:Davies, R.V.; Fraser, J.; Nichol, K.J.; Parkinson, R.; Sim, M.F.; Yates, D.B. (The Boots Company plc)
来源:DE 3011994; US 4302460
合成路线图解说明:

The reaction of 7-fluoro-1-methyl-3,1-benzoxazine-2,4-dione (I) with trimethylsulfoxonium iodide and NaH in DMSO gives the corresponding ylide (II), which is cyclized with methyl orthoformate (III) in refluxing ethanol-acetic acid.

参考文献No.50804
标题:Pivopril
作者:Casta馿r, J.; Prous, J.
来源:Drugs Fut 1986,11(3),177
合成路线图解说明:

The reaction of 7-fluoro-1-methyl-3,1-benzoxazine-2,4-dione (I) with trimethylsulfoxonium iodide and NaH in DMSO gives the corresponding ylide (II), which is cyclized with methyl orthoformate (III) in refluxing ethanol-acetic acid.

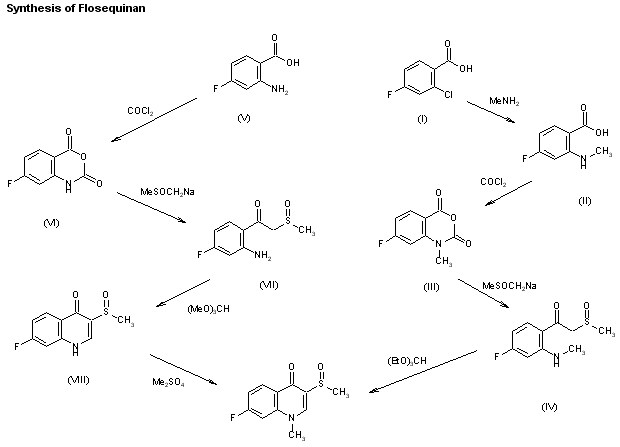
参考文献No.253199
标题:Syntheses of flosequinan: A novel 4-quinolone shown to be useful in congestive heart failureSyntheses of flosequinan: A novel 4-quinolone shown to be useful in congestive heart failure
作者:Birch, A.M.; Maclean, L.; Robinson, K.; Davies, R.V.
来源:J Chem Soc - Perkins Trans I 1994,4387
合成路线图解说明:

Flosequinan has been synthesized by two new related ways: 1) The reaction of 2-chloro-4-fluorobenzoic acid (I) with refluxing aqueous methylamine Cu powder and CuCl2 gives 4-fluoro-2-(methylamino)benzoic acid (II), which is cyclized with phosgene to yield 7-fluoro-1-methyl-1,2-dihydro-4H-3,1-benzoxazine-2,4-dione (III). The reaction of (III) with dimethyl sulfoxide and NaH in toluene affords 4-fluoro-2-(methylamino)-alpha-(methylsulfinyl)acetophenone (IV), which is finally cyclized with refluxing triethyl orthoformate. 2) The reaction of 2-amino-4-fluorobenzoic acid (V) with phosgene as before gives the corresponding benzoxazine (VI), which is treated with dimethyl sulfoxide and NaH in refluxing toluene to afford 2-amino-4-fluoro-alpha-(methylsulfinyl)acetophenone (VII). The cyclization of (VII) with refluxing trimethyl orthoformate gives 7-fluoro-3-(methylsulfinyl)quinolin-4(1H)-one (VIII), which is finally methylated with dimethyl sulfate and KOH in water.

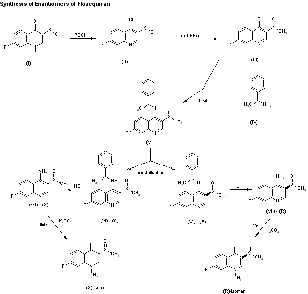
参考文献No.280404
标题:Synthesis and absolute configuration of the enantiomers of 7-fluoro-1-methyl-3-(methylsulfinyl)-4(1H)-quinolinone (flosequinan)
作者:Ohtani, T.; Kido, M.; Shimizu, T.; Matsubara, J.; Morita, S.; Ohtsubo, K.; Uchida, M.
来源:Chem Pharm Bull 1994,42(10),2157
合成路线图解说明:

The synthesis of the two enantiomers of flosequinan has been described: The reaction of 7-fluoro-3-(methylsulfanyl)quinolin-4(1H)-one (I) with POCl3 in refluxing CHCl3 gives the corresponding chloroquinoline (II), which by oxidation with m-chloroperbenzoic acid (m-CPBA) in CHCl3/water yields 4-chloro-7-fluoro-3-(methylsulfinyl)quinoline (III). The condensation of (III) with (R)-1-phenylethylamine (IV) affords the secondary amine (V) as a diastereomeric mixture that is separated by fractional crystallization to afford the two diastereomers (VI)-(S) and (VI)-(R). Both compounds are treated with hot 1N HCl to afford (S)-4-amino-7-fluoro-3-(methylsulfinyl)quinoline (VII)-(S) and (R)-4-amino-7-fluoro-3-(methylsulfinyl)quinoline (VII)-(R), respectively. Finally, (VII)-(S) and (VII)-(R) are treated with methyl iodide in hot butanone to afford (S)-flosequinan and (R)-flosequinan, respectively.

Drug Information Express,Drug R&D,Chemical Database,Patent Search.
Copyright © 2006-2026 Drug Future. All rights reserved.Contact Us