【药物名称】Troxolamide, NAT
化学结构式(Chemical Structure):
参考文献No.1011
标题:Nitroxyl cpds., and diagnostic media based thereon
作者:Gries, H.; Niedballa, U.; Weinmann, H.-J. (Schering AG)
来源:EP 0133674; JP 1985094960; US 4925652
合成路线图解说明:

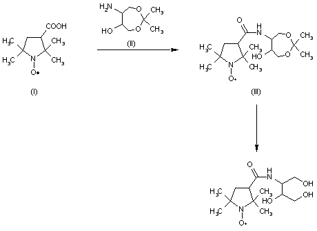
Reaction of 2,2,5,5-tetramethylpyrrolidin-1-oxyl-3-carboxylic acid (I) with 6-amino-2,2-dimethyl-1,3-dioxepan-5-ol (II) yields 2,2,5,5-tetramethylpyrrolidin-1-oxyl-3-carboxylic acid (5-hydroxy-2,2-dimethyl-1,3-dioxepan-6-yl)amide (III). Subsequent acidic hydrolysis gives NAT.

参考文献No.39875
标题:Amino-dioxepane intermediates for the synthesis of
作者:Ranganathan, R.; Sovak, M. (University of California, San Diego)
来源:EP 0033426
合成路线图解说明:

Reaction of 2,2,5,5-tetramethylpyrrolidin-1-oxyl-3-carboxylic acid (I) with 6-amino-2,2-dimethyl-1,3-dioxepan-5-ol (II) yields 2,2,5,5-tetramethylpyrrolidin-1-oxyl-3-carboxylic acid (5-hydroxy-2,2-dimethyl-1,3-dioxepan-6-yl)amide (III). Subsequent acidic hydrolysis gives NAT.

参考文献No.62406
标题:Nat
作者:Gries, H.
来源:Drugs Fut 1988,13(3),230
合成路线图解说明:

Reaction of 2,2,5,5-tetramethylpyrrolidin-1-oxyl-3-carboxylic acid (I) with 6-amino-2,2-dimethyl-1,3-dioxepan-5-ol (II) yields 2,2,5,5-tetramethylpyrrolidin-1-oxyl-3-carboxylic acid (5-hydroxy-2,2-dimethyl-1,3-dioxepan-6-yl)amide (III). Subsequent acidic hydrolysis gives NAT.

Drug Information Express,Drug R&D,Chemical Database,Patent Search.
Copyright © 2006-2026 Drug Future. All rights reserved.Contact Us