【药物名称】Desciclovir, Deoxyacyclovir, BW-A-515-U, A-515U
化学结构式(Chemical Structure):
参考文献No.1006
标题:Antiviral purine derivs.
作者:Beauchamp, L.M.; Krenitsky, T.A.; Schaeffer, H.J. (Glaxo Wellcome plc)
来源:EP 0108285; EP 0158847; ES 8603482; GB 2151222; US 4609662; US 4649140
合成路线图解说明:

The condensation of 2-amino 6 chloropurine (I) with 2-benzyioxyethoxymethyl chloride (II), by means of K2CO3 in DMF gives 2-amino-6 chloro 9-(2 benzyloxyethoxymethyl)purine (III), which is then dechlorinated by reduction with H2 over Pd/C in ethanol containing triethylamine.

参考文献No.41985
标题:Purine derivs.
作者:Schaeffer, H.J. (Glaxo Wellcome plc)
来源:US 4294831
合成路线图解说明:

The reaction of benzonitrile (I) with refluxing ethylene glycol (II) gives ethylene glycol monobenzoate (III), which is chloromethylated with formaldehyde and dry HCl in CH2Cl2 affording 1-benzoyloxy-2-chloromethoxyethane (IV). The condensation of (IV) with 2,6-dichloropurine (V) by means of triethylamine in DMF yields 2,6-dichloro-9-(2-benzoyloxyethoxymethyl)purine (VI), which is aminated and debenzoylated by treatment with NH3 in methanol at 95 C in a pressure vessel giving 2-chloro-9-(2-hydroxyethoxymethyl)adenine (VII). The Sandmeyer reaction of (VII) with NaNO2 in acetic acid affords 2-chloro-9-(2-hydroxyethoxymethyl)hypoxanthine (VIII), which is finally amonolyzed with ammonia in methanol at 125 C in a pressure vessel.

合成路线图解说明:

The condensation of guanine (IX) with refluxing hexamethyldisilazane followed by reaction with 1-benzoyloxy-2-chloromethoxyethane (IV) by means of triethylamine in refluxing benzene gives 9-(2-benzoyloxyethoxymethyl)guanine (X), which is finally hydrolyzed with ammonia in methanol at 80 C in a pressure vessel.

合成路线图解说明:

The condensation of 2-amino 6 chloropurine (I) with 2-benzyioxyethoxymethyl chloride (II), by means of K2CO3 in DMF gives 2-amino-6 chloro 9-(2 benzyloxyethoxymethyl)purine (III), which is then dechlorinated by reduction with H2 over Pd/C in ethanol containing triethylamine.

参考文献No.50745
标题:A-515-U
作者:Casta馿r, J.; Hopkins, S.J.
来源:Drugs Fut 1986,11(2),92
合成路线图解说明:

The condensation of 2-amino 6 chloropurine (I) with 2-benzyioxyethoxymethyl chloride (II), by means of K2CO3 in DMF gives 2-amino-6 chloro 9-(2 benzyloxyethoxymethyl)purine (III), which is then dechlorinated by reduction with H2 over Pd/C in ethanol containing triethylamine.

参考文献No.128224
标题:A new synthesis of acyclovir prodrugs. N2-Acetylacyclovir and 6-deoxya cyclovir
作者:Stimac, A.; Kobe, J.
来源:Synthesis 1990,6(6),461-4
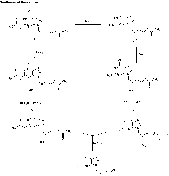
合成路线图解说明:

A new synthesis of A-515-U has been reported. The compound can be synthesized in two similar ways: 1) The reaction of 9-(2-acetoxyethoxymethyl)-2-(acetylamino)-6,9-dihydro-1H-purin-6-one (I) with POCl3 and 2,4,6-trimethylpyridine in refluxing acetonitrile gives 9-(2-acetoxyethoxymethyl)-2-(acetylamino)-6-chloro-9H-purine (II), which is dechlorinated with formic acid - triethylamine and Pd/C in refluxing acetone, yielding 9-(2-acetoxyethoxymethyl)-2-(acetylamino)-9H-purine (III). Finally, this compound is deacetylated in water. 2) Purine (I) is partially deacetylated with triethylamine in refluxing ethanol to give 9-(2-acetoxyethoxymethyl)-2-amino-6,9-dihydro-1H-purin-6-one (IV), which is treated with POCl3 as before to yield the chloropurine (V). The dechlorination of (V) with HCO2H as before or with ammonium formate - Pd/C affords 9-(2-acetoxyethoxymethyl)-2-amino-9H-purine (VI), which is finally deacetylated with methylamine as before.

Drug Information Express,Drug R&D,Chemical Database,Patent Search.
Copyright © 2006-2026 Drug Future. All rights reserved.Contact Us