【药物名称】Glutapyrone
化学结构式(Chemical Structure):
参考文献No.970
标题:2-(2,6-Dimethyl-3,5-diethoxycarbonyl-1,4-dihydropyridine-4-carboxamide) glutaric acid its disodium salt and method of their preparation
作者:Biseniex, E.A.; Uldrikis, Y.R.; Dubur, G.Y.; Veveris, M.M.; Kimenis, A.A.; Ivanov, E.V. (Latvian Institute of Organic Synthesis)
来源:US 4485239
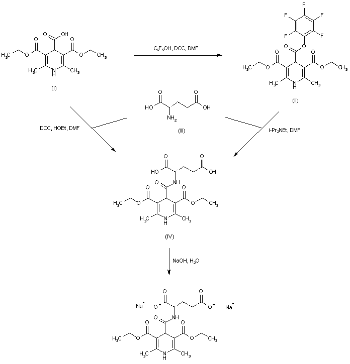
合成路线图解说明:

The dihydropyridine-4-carboxylic acid derivative (I) was activated as the pentafluorophenyl ester (II) using pentafluorophenol and DCC. Coupling of the active ester (II) with glutamic acid (III) furnished the N-acyl glutamic acid (IV). Alternatively, (IV) was obtained by coupling of glutamic acid (III) with the pyridine acid (I) via activation with DCC/HOBt. Diacid (IV) was finally treated with NaOH to produce the corresponding disodium salt.

合成路线图解说明:

In a related method for the preparation of (IV), acid (I) was activated as the mixed anhydride (V) using isobutyl chloroformate. Coupling of anhydride (V) with the silyl ester (VI), prepared from glutamic acid (III) and hexamethyldisilazane, provided amide (IV).

Drug Information Express,Drug R&D,Chemical Database,Patent Search.
Copyright © 2006-2026 Drug Future. All rights reserved.Contact Us