【药物名称】Ralitoline, CI-946, PD-117818, Goe-4942
化学结构式(Chemical Structure):
参考文献No.952
标题:4-Oxothiazolidin-2-ylideneacetamide derivatives as CNS agents
作者:Bartoszyk, G.; Hartenstein, J.; Herrmann, M.; Fritschi, E.; Satzinger, G. (G鰀ecke AG)
来源:DE 3317000; EP 0124911; US 4563471
合成路线图解说明:

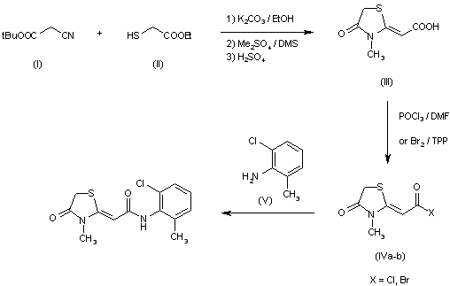
Reaction of tert-butyl cyanoacetate (I) with ethyl mercaptoacetate (II) in the presence of potassium carbonate, followed by N-methylation and ester cleavage affords the intermediate carboxylic acid (III). This compound, by POCl3 in dimethylformamide or by Br2/TPP, is converted to the corresponding acid halogenide (IV), which is finally condensed with 2-chloro-6-methylaniline (V).

参考文献No.50686
标题:Ralitoline
作者:Satzinger, G.
来源:Drugs Fut 1985,10(11),920
合成路线图解说明:

Reaction of tert-butyl cyanoacetate (I) with ethyl mercaptoacetate (II) in the presence of potassium carbonate, followed by N-methylation and ester cleavage affords the intermediate carboxylic acid (III). This compound, by POCl3 in dimethylformamide or by Br2/TPP, is converted to the corresponding acid halogenide (IV), which is finally condensed with 2-chloro-6-methylaniline (V).

Drug Information Express,Drug R&D,Chemical Database,Patent Search.
Copyright © 2006-2026 Drug Future. All rights reserved.Contact Us