【药物名称】Transcainide, R-54718
化学结构式(Chemical Structure):
参考文献No.904
标题:N-Aryl-alpha-aminocarboxamide derivs.
作者:De Bruyn, M.F.L.; Van Daele, G.H.P.; Verdonck, M.G.C. (Janssen Pharmaceutica NV)
来源:EP 0121972; ES 8506615
合成路线图解说明:

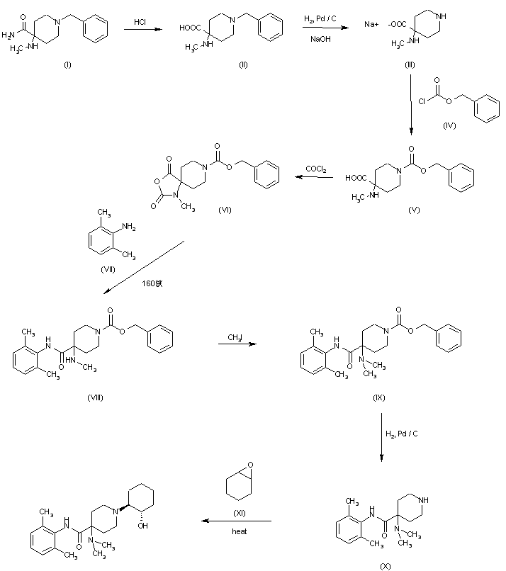
The hydrolysis of 1-benzyl-4-(methylamino)piperidine-4-carboxamide (I) with refluxing concentrated aqueous HCl gives the corresponding free acid (II), which is debenzylated with H2 over Pd/C in basic medium yielding 4-(methylamino)piperidine-4-carboxylic acid sodium salt (III). The protection of (III) with benzyl chloroformate (IV) in basic THF - water affords 1-(benzyloxycarbonyl)-4-(methylamino)piperidine 4 carboxylic acid (V), which by cyclization with phosgene in dioxane is converted to benzyl 1-methyl-2,4-dioxo 3-oxa-1,8-diazaspiro[4.5]decane-8 carboxylate (VI). The reaction of (VI) with 2,6-dimethylaniline (II) by heating at 160 C gives benzyl 4-(2,6-dimethylphenylaminocarbonyl)-4-(methylamino)piperidine-1-carboxylate (VIII), which is methylated with refluxing methyl iodide to the corresponding dimethylamino compound (IX). The deprotection of (IX) with H2 over Pd/C in methanol yields 4-(dimethylamino)-N-(2,6-dimethylphenyl)piperidine-4-carboxamide (X), which is finally condensed with 1,2-epoxycyclohexane (XI) in refluxing ethanol.

参考文献No.62405
标题:Transcainidine
作者:Casta馿r, J.; Prous, J.
来源:Drugs Fut 1988,13(3),239
合成路线图解说明:

The hydrolysis of 1-benzyl-4-(methylamino)piperidine-4-carboxamide (I) with refluxing concentrated aqueous HCl gives the corresponding free acid (II), which is debenzylated with H2 over Pd/C in basic medium yielding 4-(methylamino)piperidine-4-carboxylic acid sodium salt (III). The protection of (III) with benzyl chloroformate (IV) in basic THF - water affords 1-(benzyloxycarbonyl)-4-(methylamino)piperidine 4 carboxylic acid (V), which by cyclization with phosgene in dioxane is converted to benzyl 1-methyl-2,4-dioxo 3-oxa-1,8-diazaspiro[4.5]decane-8 carboxylate (VI). The reaction of (VI) with 2,6-dimethylaniline (II) by heating at 160 C gives benzyl 4-(2,6-dimethylphenylaminocarbonyl)-4-(methylamino)piperidine-1-carboxylate (VIII), which is methylated with refluxing methyl iodide to the corresponding dimethylamino compound (IX). The deprotection of (IX) with H2 over Pd/C in methanol yields 4-(dimethylamino)-N-(2,6-dimethylphenyl)piperidine-4-carboxamide (X), which is finally condensed with 1,2-epoxycyclohexane (XI) in refluxing ethanol.

Drug Information Express,Drug R&D,Chemical Database,Patent Search.
Copyright © 2006-2026 Drug Future. All rights reserved.Contact Us