【药物名称】SM-3163
化学结构式(Chemical Structure):
参考文献No.895
标题:Diphenylalkanoether and diphenylalkanone oximeether derivatives
作者:Ono, K.; Kawakami, H.; Katsube, J. (Sumitomo Pharmaceuticals Co., Ltd.)
来源:EP 0017217; US 4388469; US 4426394; US 4482573; US 4620036
合成路线图解说明:

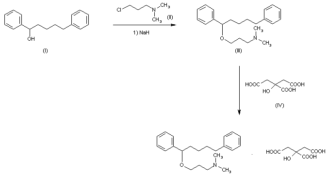
By condensation of 1,5-diphenyl-1-pentanol (I) with 3-(dimethylamino)propyl chloride (II) by means of NaH in refluxing toluene, followed by a treatment with citric acid.

参考文献No.50623
标题:SM-3163
作者:Casta馿r, J.; Prous, J.
来源:Drugs Fut 1986,11(12),1046
合成路线图解说明:

By condensation of 1,5-diphenyl-1-pentanol (I) with 3-(dimethylamino)propyl chloride (II) by means of NaH in refluxing toluene, followed by a treatment with citric acid.

Drug Information Express,Drug R&D,Chemical Database,Patent Search.
Copyright © 2006-2026 Drug Future. All rights reserved.Contact Us