【药物名称】KP-136, AL-136
化学结构式(Chemical Structure):
参考文献No.70089
标题:KP-136
作者:Tasaka, K.
来源:Drugs Fut 1988,13(10),915
合成路线图解说明:

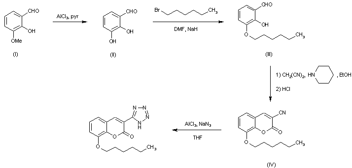
The demethylation ot o-vanillin (I) with AlCl3 dissolved in pyridine gives 2,3 dihydroxybenzaldehyde (II). Subsequent alkylation by means of hexyl bromide with NaH gives 3-hexyloxy-2-hydroxybenzaldehyde (III), which is then condensed with malononitrile and piperidine, yielding 3-cyano-8-hexyloxycromen-2-one (IV), a needle-like yellow crystalline substance. Finally, compound (IV) is treated with sodium azide and AlCl3 in refluxing THF, yielding the formation of the tetrazole ring.

Drug Information Express,Drug R&D,Chemical Database,Patent Search.
Copyright © 2006-2026 Drug Future. All rights reserved.Contact Us