【药物名称】Moveltipril calcium, Altiopril calcium, MC-838, Lowpress
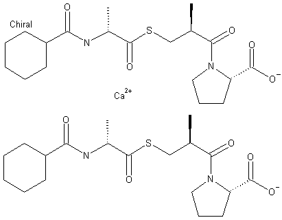
化学结构式(Chemical Structure):
参考文献No.8343
标题:Proline derivative
作者:Iwaoka, T.; Kuromaru, K.; Obatake, N.; Hata, S.I.; Matsunaga, I.; Fujimura, Y.; Aono, J.; Hinohara, Y.; Fukushima, M.; Nabata, H.; Sakai, K.; Tanaka, S.; Nakano, H. (Chugai Pharmaceutical Co. Ltd.)
来源:BE 0893553; JP 1982209270; JP 1988045252
合成路线图解说明:

The reaction of N-(cyclohexanecarbonyl)-D-alanine (I) with 3-mercapto-2-methylpropanoic acid (II) by means of carbonyldiimidazole (III) in THF gives 3-[N-(cyclohexanecarbonyl)-D alanilthio]-2-methyl-propanoic acid (IV), which is then condensed with L-protine (V) by means of triethylamine and ethyl chloroformate (VI) o THF.

参考文献No.50616
标题:MC-838
作者:Prous, J.; Casta馿r, J.
来源:Drugs Fut 1986,11(5),380
合成路线图解说明:

The reaction of N-(cyclohexanecarbonyl)-D-alanine (I) with 3-mercapto-2-methylpropanoic acid (II) by means of carbonyldiimidazole (III) in THF gives 3-[N-(cyclohexanecarbonyl)-D alanilthio]-2-methyl-propanoic acid (IV), which is then condensed with L-protine (V) by means of triethylamine and ethyl chloroformate (VI) o THF.

Drug Information Express,Drug R&D,Chemical Database,Patent Search.
Copyright © 2006-2026 Drug Future. All rights reserved.Contact Us