【药物名称】Miglitol, SK-983, Bay-m-1099, Plumarol, Diastabol, Glyset
化学结构式(Chemical Structure):
参考文献No.594386
标题:Lipophilic prodrugs of 1-deoxynojirimycin derivatives
作者:Therisod, M.; Fouacea, S.
来源:Tetrahedron Lett 2000,41(38),7313
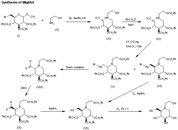
合成路线图解说明:

A new synthesis of miglitol has been reported: Reaction of the bromoglycoside (I) with ethanolamine (II) by means of Zn and NaBH3CN in refluxing propanol/water gives the adduct (III), which is benzylated with benzyl chloride and NaH in DMF yielding compound (IV). The cyclization of (IV) by means of mercury trifluoroacetate in THF, followed by a treatment with KHCO3 and KBr affords a mixture of the diastereomeric organomercuric piperidines (V) and (VI) which are separated by chromatography. The desired diastereomer (VI) was treated with O2 and NaBH4 in DMF to give the protected piperidinemethanol (VII), which is finally debenzylated by hydrogenolysis with H2 over Pd/C in ethanol. The undesired diastereomer (V) can be recovered by Swern oxidation giving aldehyde (VIII), isomerization of (VIII) with DBU to provide aldehyde (IX) and reduction of (IX) to the already reported piperidinemethanol (VII).

Drug Information Express,Drug R&D,Chemical Database,Patent Search.
Copyright © 2006-2026 Drug Future. All rights reserved.Contact Us