【药物名称】Irloxacin, E-3432
化学结构式(Chemical Structure):
参考文献No.868
标题:7-(1-Pyrrolyl) derivs. of 1-ethyl-1,4-dihydro-4-oxoquinoline-3-carboxylic acids and 1-ethyl-1,4-dihydro-4-oxo-1,8-naphthyridine-3-carboxylic acids and their use as antimicrobial agents
作者:Esteve Soler, J. (Provesan SA)
来源:EP 0134165; FR 2548664; FR 2559484; US 4552882
合成路线图解说明:

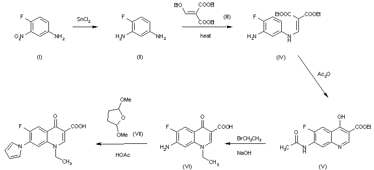
The reduction of 4-fluoro-3-nitroaniline (I) with SnCl2.2H20 in concentrated aqueous HCl gives 4 fluoro-m-phenylenediamine (II), which is condensed with diethyl ethoxymethylenemalonate (III) in refluxing ethanol to afford diethyl 4-fluoro-3-aminoanilinomethylenemalonate (IV). The cyclization of (IV) by means of acetic anhydride in diphenyl oxide at 250 C yields ethyl 7-acetamido-4-hydroxy-6-fluoroquinoline-3-carboxylate (V), which is alkyiated with ethyl bromide and NaOH in refluxing ethanol to give 7-amino-6-fluoro-1-ethyl-1,4 dihydro-4-oxoquinoline-3-carboxylic acid (VI). Finally, this compound is condensed with 2,5-dimethoxytetrahydrofuran (VII) in hot acetic acid.

参考文献No.50580
标题:Irloxafin
作者:Prous, J.; Casta馿r, J.
来源:Drugs Fut 1986,11(10),839
合成路线图解说明:

The reduction of 4-fluoro-3-nitroaniline (I) with SnCl2.2H20 in concentrated aqueous HCl gives 4 fluoro-m-phenylenediamine (II), which is condensed with diethyl ethoxymethylenemalonate (III) in refluxing ethanol to afford diethyl 4-fluoro-3-aminoanilinomethylenemalonate (IV). The cyclization of (IV) by means of acetic anhydride in diphenyl oxide at 250 C yields ethyl 7-acetamido-4-hydroxy-6-fluoroquinoline-3-carboxylate (V), which is alkyiated with ethyl bromide and NaOH in refluxing ethanol to give 7-amino-6-fluoro-1-ethyl-1,4 dihydro-4-oxoquinoline-3-carboxylic acid (VI). Finally, this compound is condensed with 2,5-dimethoxytetrahydrofuran (VII) in hot acetic acid.

Drug Information Express,Drug R&D,Chemical Database,Patent Search.
Copyright © 2006-2026 Drug Future. All rights reserved.Contact Us