【药物名称】Trospectomycin sulfate, U-63366F, Spexil
化学结构式(Chemical Structure):
参考文献No.836
标题:6'-Alkylspectinomycins
作者:White, D.R. (Pharmacia Corp.)
来源:DE 3308196; US 4532336
合成路线图解说明:

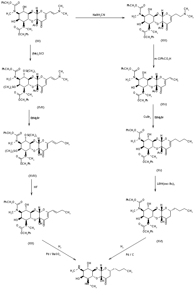
1) The condensation of N,N'-di(benzyloxycarbonyl)actinamine (I) with the L-glucose nitrosodimer (II) in DMF gives the oxime adduct (III), which is cyclized by means of aqueous HCl yielding the hemiketal triacetate (IV). The treatment of (IV) with anhydrous KHCO3 in acetonitrile affords the enone acetate (V), which is deacetylated with K2HPO4 in methanol to give N,N'-di(benzyloxycarbonyl)dehydrospectinomycin (VI). The hydrogenation of (VI) with H2 over Pd/BaSO4 in pyridine - isopropanol yields free spectinomycin (VII), which is protected again with benzyloxycarbonyl chloride as usual to give N,N'-di(benzyloxycarbonyl)spectinomycin (VIII). The formylation of (VIII) with formic acid - acetic anhydride gives the 2,6-di-O-formyl derivative (IX), which by treatment with acetic anhydride and dimethylaminopyridine (DMAP) is converted into the enol acetate (X). The reaction of (X) with dibromodimethylhydantoin (DBMH) in refluxing CCl4 under visible light illumination affords the unsaturated ketone (XI), which is treated with dimethylformamide dimethyl acetal in hot DMF, yielding the dimethylaminovinylene compound (XII).

合成路线图解说明:

Reduction of (XII) with sodium cyanoborohydride in methanolic HCl gives the 2-dimethylaminoethyl compound (XIII), which is treated with m-chloroperbenzoic acid in ethylacetate - Skellysolve B to afford the vinyl derivative (XIV). The reaction of (XIV) with ethylmagnesium bromide and CuBr2 in THF affords the protected propyl-dehydrospectinomycin (XV), which is hydrogenated with lithium tri-sec-butyl borohydride in THF to afford the propyl-spectinomycin (XVI). Finally, this compound is deprotected by hydrogenation with H2 over Pd/C in methanol. 2) The silylation of the dimethylaminovinylene compound (XII) with trimethylsilylchloride and hexamethyldisilazane in THF gives the silylated compound (XVII), which is treated with ethylmagnesium bromide to yield the 1-butenyl derivative (XVIII). The elimination of the silyl groups of (XVIII) with HF in acetonitrile affords N,N'-di(benzyloxycarbonyl)tetradehydrotrospectomycin (XIX), which is then hydrogenated with H2 over Pd/BaSO4 as before.

参考文献No.86750
标题:The synthesis of trospectomycin (6'-n-propylspectinomycin, U-63,366F)
作者:Cain, G.A.; White, D.R.
来源:Tetrahedron Lett 1989,30(12),1469-72
合成路线图解说明:

1) The condensation of N,N'-di(benzyloxycarbonyl)actinamine (I) with the L-glucose nitrosodimer (II) in DMF gives the oxime adduct (III), which is cyclized by means of aqueous HCl yielding the hemiketal triacetate (IV). The treatment of (IV) with anhydrous KHCO3 in acetonitrile affords the enone acetate (V), which is deacetylated with K2HPO4 in methanol to give N,N'-di(benzyloxycarbonyl)dehydrospectinomycin (VI). The hydrogenation of (VI) with H2 over Pd/BaSO4 in pyridine - isopropanol yields free spectinomycin (VII), which is protected again with benzyloxycarbonyl chloride as usual to give N,N'-di(benzyloxycarbonyl)spectinomycin (VIII). The formylation of (VIII) with formic acid - acetic anhydride gives the 2,6-di-O-formyl derivative (IX), which by treatment with acetic anhydride and dimethylaminopyridine (DMAP) is converted into the enol acetate (X). The reaction of (X) with dibromodimethylhydantoin (DBMH) in refluxing CCl4 under visible light illumination affords the unsaturated ketone (XI), which is treated with dimethylformamide dimethyl acetal in hot DMF, yielding the dimethylaminovinylene compound (XII).

合成路线图解说明:

Reduction of (XII) with sodium cyanoborohydride in methanolic HCl gives the 2-dimethylaminoethyl compound (XIII), which is treated with m-chloroperbenzoic acid in ethylacetate - Skellysolve B to afford the vinyl derivative (XIV). The reaction of (XIV) with ethylmagnesium bromide and CuBr2 in THF affords the protected propyl-dehydrospectinomycin (XV), which is hydrogenated with lithium tri-sec-butyl borohydride in THF to afford the propyl-spectinomycin (XVI). Finally, this compound is deprotected by hydrogenation with H2 over Pd/C in methanol. 2) The silylation of the dimethylaminovinylene compound (XII) with trimethylsilylchloride and hexamethyldisilazane in THF gives the silylated compound (XVII), which is treated with ethylmagnesium bromide to yield the 1-butenyl derivative (XVIII). The elimination of the silyl groups of (XVIII) with HF in acetonitrile affords N,N'-di(benzyloxycarbonyl)tetradehydrotrospectomycin (XIX), which is then hydrogenated with H2 over Pd/BaSO4 as before.

参考文献No.137760
标题:Trospectomycin Sulfate
作者:Casta馿r, J.; Patoia, L.
来源:Drugs Fut 1991,16(4),323
合成路线图解说明:

1) The condensation of N,N'-di(benzyloxycarbonyl)actinamine (I) with the L-glucose nitrosodimer (II) in DMF gives the oxime adduct (III), which is cyclized by means of aqueous HCl yielding the hemiketal triacetate (IV). The treatment of (IV) with anhydrous KHCO3 in acetonitrile affords the enone acetate (V), which is deacetylated with K2HPO4 in methanol to give N,N'-di(benzyloxycarbonyl)dehydrospectinomycin (VI). The hydrogenation of (VI) with H2 over Pd/BaSO4 in pyridine - isopropanol yields free spectinomycin (VII), which is protected again with benzyloxycarbonyl chloride as usual to give N,N'-di(benzyloxycarbonyl)spectinomycin (VIII). The formylation of (VIII) with formic acid - acetic anhydride gives the 2,6-di-O-formyl derivative (IX), which by treatment with acetic anhydride and dimethylaminopyridine (DMAP) is converted into the enol acetate (X). The reaction of (X) with dibromodimethylhydantoin (DBMH) in refluxing CCl4 under visible light illumination affords the unsaturated ketone (XI), which is treated with dimethylformamide dimethyl acetal in hot DMF, yielding the dimethylaminovinylene compound (XII).

合成路线图解说明:

Reduction of (XII) with sodium cyanoborohydride in methanolic HCl gives the 2-dimethylaminoethyl compound (XIII), which is treated with m-chloroperbenzoic acid in ethylacetate - Skellysolve B to afford the vinyl derivative (XIV). The reaction of (XIV) with ethylmagnesium bromide and CuBr2 in THF affords the protected propyl-dehydrospectinomycin (XV), which is hydrogenated with lithium tri-sec-butyl borohydride in THF to afford the propyl-spectinomycin (XVI). Finally, this compound is deprotected by hydrogenation with H2 over Pd/C in methanol. 2) The silylation of the dimethylaminovinylene compound (XII) with trimethylsilylchloride and hexamethyldisilazane in THF gives the silylated compound (XVII), which is treated with ethylmagnesium bromide to yield the 1-butenyl derivative (XVIII). The elimination of the silyl groups of (XVIII) with HF in acetonitrile affords N,N'-di(benzyloxycarbonyl)tetradehydrotrospectomycin (XIX), which is then hydrogenated with H2 over Pd/BaSO4 as before.

参考文献No.145237
标题:Synthesis and in vitro antibacterial properties of alkylspectinomycin analogs
作者:White, D.R.; Maring, C.J.; Cain, G.A.
来源:J Antibiot 1983,36(3),339-42
合成路线图解说明:

1) The condensation of N,N'-di(benzyloxycarbonyl)actinamine (I) with the L-glucose nitrosodimer (II) in DMF gives the oxime adduct (III), which is cyclized by means of aqueous HCl yielding the hemiketal triacetate (IV). The treatment of (IV) with anhydrous KHCO3 in acetonitrile affords the enone acetate (V), which is deacetylated with K2HPO4 in methanol to give N,N'-di(benzyloxycarbonyl)dehydrospectinomycin (VI). The hydrogenation of (VI) with H2 over Pd/BaSO4 in pyridine - isopropanol yields free spectinomycin (VII), which is protected again with benzyloxycarbonyl chloride as usual to give N,N'-di(benzyloxycarbonyl)spectinomycin (VIII). The formylation of (VIII) with formic acid - acetic anhydride gives the 2,6-di-O-formyl derivative (IX), which by treatment with acetic anhydride and dimethylaminopyridine (DMAP) is converted into the enol acetate (X). The reaction of (X) with dibromodimethylhydantoin (DBMH) in refluxing CCl4 under visible light illumination affords the unsaturated ketone (XI), which is treated with dimethylformamide dimethyl acetal in hot DMF, yielding the dimethylaminovinylene compound (XII).

合成路线图解说明:

Reduction of (XII) with sodium cyanoborohydride in methanolic HCl gives the 2-dimethylaminoethyl compound (XIII), which is treated with m-chloroperbenzoic acid in ethylacetate - Skellysolve B to afford the vinyl derivative (XIV). The reaction of (XIV) with ethylmagnesium bromide and CuBr2 in THF affords the protected propyl-dehydrospectinomycin (XV), which is hydrogenated with lithium tri-sec-butyl borohydride in THF to afford the propyl-spectinomycin (XVI). Finally, this compound is deprotected by hydrogenation with H2 over Pd/C in methanol. 2) The silylation of the dimethylaminovinylene compound (XII) with trimethylsilylchloride and hexamethyldisilazane in THF gives the silylated compound (XVII), which is treated with ethylmagnesium bromide to yield the 1-butenyl derivative (XVIII). The elimination of the silyl groups of (XVIII) with HF in acetonitrile affords N,N'-di(benzyloxycarbonyl)tetradehydrotrospectomycin (XIX), which is then hydrogenated with H2 over Pd/BaSO4 as before.

参考文献No.242733
标题:Oxidation and alkylation of spectinomycin derivatives: Synthesis of trospectomycin from spectinomycin
作者:Herrinton, P.M.; Hartley, W.M.; Klotz, K.L.
来源:J Org Chem 1993,58(3),678
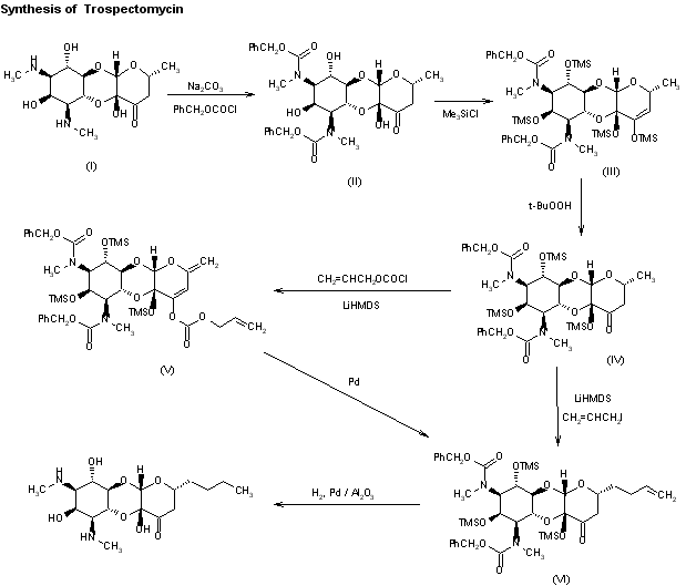
合成路线图解说明:

A new synthesis of trospectomycin has been published: The protection of the amino groups of spectinomycin (I) with benzyl chloroformate gives compound (II), which is treated with trimethylsilylchloride to protect the hydroxyl groups yielding the fully protected compound (III). The reaction of (III) with tert-butyl hydroperoxide makes free the oxo group affording compound (IV), which is converted into the enol ester (V) with allyl chloroformate and LiHMDS. The trans-allylation of (V) in THF by means of Pd under Tsujii conditions gives the protected 3-butenyl derivative (VI), which is finally deprotected and simultaneously hydrogenated with H2 over Pd/Al2O3 in methanol-acetic acid.

参考文献No.802350
标题:The stereospecific synthesis of spectinomycin
作者:White, D.R.; Mizsak, S.A.; Birkenmeyer, R.D.; Thomas, R.C.; Wiley, V.H.
来源:Tetrahedron Lett 1979,302737-40
合成路线图解说明:

1) The condensation of N,N'-di(benzyloxycarbonyl)actinamine (I) with the L-glucose nitrosodimer (II) in DMF gives the oxime adduct (III), which is cyclized by means of aqueous HCl yielding the hemiketal triacetate (IV). The treatment of (IV) with anhydrous KHCO3 in acetonitrile affords the enone acetate (V), which is deacetylated with K2HPO4 in methanol to give N,N'-di(benzyloxycarbonyl)dehydrospectinomycin (VI). The hydrogenation of (VI) with H2 over Pd/BaSO4 in pyridine - isopropanol yields free spectinomycin (VII), which is protected again with benzyloxycarbonyl chloride as usual to give N,N'-di(benzyloxycarbonyl)spectinomycin (VIII). The formylation of (VIII) with formic acid - acetic anhydride gives the 2,6-di-O-formyl derivative (IX), which by treatment with acetic anhydride and dimethylaminopyridine (DMAP) is converted into the enol acetate (X). The reaction of (X) with dibromodimethylhydantoin (DBMH) in refluxing CCl4 under visible light illumination affords the unsaturated ketone (XI), which is treated with dimethylformamide dimethyl acetal in hot DMF, yielding the dimethylaminovinylene compound (XII).

合成路线图解说明:

Reduction of (XII) with sodium cyanoborohydride in methanolic HCl gives the 2-dimethylaminoethyl compound (XIII), which is treated with m-chloroperbenzoic acid in ethylacetate - Skellysolve B to afford the vinyl derivative (XIV). The reaction of (XIV) with ethylmagnesium bromide and CuBr2 in THF affords the protected propyl-dehydrospectinomycin (XV), which is hydrogenated with lithium tri-sec-butyl borohydride in THF to afford the propyl-spectinomycin (XVI). Finally, this compound is deprotected by hydrogenation with H2 over Pd/C in methanol. 2) The silylation of the dimethylaminovinylene compound (XII) with trimethylsilylchloride and hexamethyldisilazane in THF gives the silylated compound (XVII), which is treated with ethylmagnesium bromide to yield the 1-butenyl derivative (XVIII). The elimination of the silyl groups of (XVIII) with HF in acetonitrile affords N,N'-di(benzyloxycarbonyl)tetradehydrotrospectomycin (XIX), which is then hydrogenated with H2 over Pd/BaSO4 as before.

Drug Information Express,Drug R&D,Chemical Database,Patent Search.
Copyright © 2006-2026 Drug Future. All rights reserved.Contact Us