【药物名称】Flunoxaprofen, RV-12424, MK-830, Priaxim
化学结构式(Chemical Structure):
参考文献No.50535
标题:Flunoxaprofen
作者:Forgione, A.
来源:Drugs Fut 1986,11(3),187
合成路线图解说明:

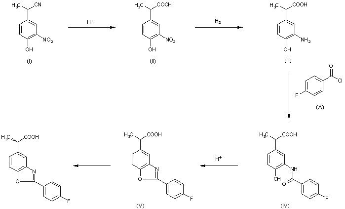
The acidic hydrolysis of 3-nitro-4-hydroxyphenyl-alpha-methylacetonitrile (I) gives 3-nitro-4-hydroxyphenyl-alpha-methylacetic acid (II), which is converted to 3-amino 4-hydroxyphenyl-alpha-methylacetic acid (III) by catalytic hydrogenation. The condensation of (III) with 4-fluorobenzoyl chloride yields 3-(4-fluoro benzamido)-4-hydroxyphenyl-alpha-methylacetic acid (IV), which is cyclized in acidic medium to give 2-(4-fluorophenyl)-alpha-methyl-5-benzoxazoleacetic acid (V). The racemic (V) was optically resolved by N-methyl-D-glucamine, yielding S-(+)-2-(4-fluorophenyl)-alpha-methyl-5-benzoxazoleacetic acid.

Drug Information Express,Drug R&D,Chemical Database,Patent Search.
Copyright © 2006-2026 Drug Future. All rights reserved.Contact Us