【药物名称】Probimane, AT-2153, MST-02
化学结构式(Chemical Structure):
参考文献No.804
标题:Bis-dioxopiperazine derivs., process for their preparation, antitumor agents comprising them and compsns. containing them
作者:Ren, Y.-F. (Zenyaku Kogyo Co., Ltd.)
来源:EP 0125475; JP 1984190976; JP 1985025975; JP 1985069070; US 4737497
合成路线图解说明:

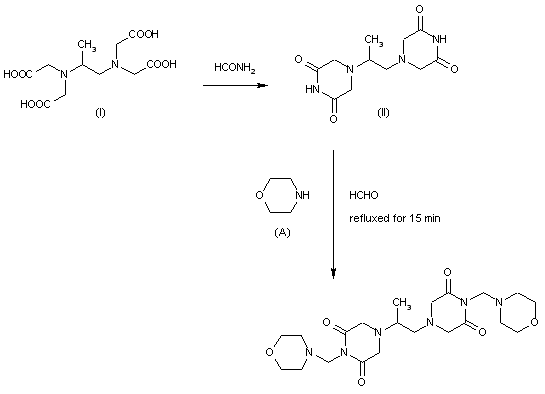
Condensation of (rac)-propylene-1,2-diaminetetraacetic acid (I) with formamide gives (rac)-1,2-bis(3,5-dioxopiperazin-1-yl)propane (II). The latter compound is heated with morpholine, and then treated with aqueous formaldehyde. Probimane separates on cooling of the reaction mixture.

参考文献No.62995
标题:Probimane
作者:Ruyun, J.
来源:Drugs Fut 1988,13(5),418
合成路线图解说明:

Condensation of (rac)-propylene-1,2-diaminetetraacetic acid (I) with formamide gives (rac)-1,2-bis(3,5-dioxopiperazin-1-yl)propane (II). The latter compound is heated with morpholine, and then treated with aqueous formaldehyde. Probimane separates on cooling of the reaction mixture.

Drug Information Express,Drug R&D,Chemical Database,Patent Search.
Copyright © 2006-2026 Drug Future. All rights reserved.Contact Us