【药物名称】Perindopril, DW-7950(as erbumine), SED-9490(as erbumine), McN-A-2833, S-9490, Coverene Cor, Coverex, Aceon, Coversum, Coversyl
化学结构式(Chemical Structure):
参考文献No.50471
标题:Asymmetric synthesis of pregabalin
作者:Mich, T.F.; Goel, O.P.; Mulhern, T.A.; Burk, M.J.; Hoekstra, M.S.; Ramsden, J.A. (Pfizer Inc.)
来源:WO 0155090
合成路线图解说明:

S-9490 is synthesized by coupling (2S,3aS,7aS)-2-tert-butoxycarbonylperhydroindole (II) with N-[(S)-1-carbethoxybutyl-(S)-alanine (I).

合成路线图解说明:

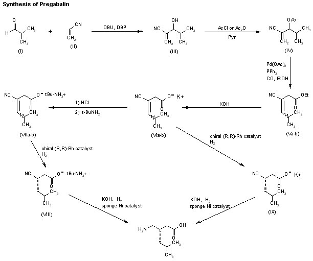
An asymmetric synthesis of pregabalin has been reported: Condensation of isobutyraldehyde (I) with acrylonitrile (II) by means of DBU and 2,6-di-tert-butyl-4- methylphenol (DBP) gives 3-hydroxy-4-methyl-2-methylenepentanenitrile (III), which is acylated with AcCl or Ac2O and pyridine to yield the acetate (IV). The carboxylation of (IV) by means of Pd(OAc)2, PPh3, CO and EtOH affords 3-cyano-4-methyl-3-hexenoic acid ethyl ester (Va-b), which is hydrolyzed with KOH in THF/water to provide the corresponding carboxylic acid potassium salt (VIa-b). Acidification of (VIa-b) with HCl, followed by reaction with tert-butylamine gives the corresponding salt (VIIa-b), which is reduced with H2 over a chiral (R,R)-rhodium catalyst [(R,R)-Rh] in THF/water to yield (S)-3-cyano-5-methylhexanoic acid butylammonium salt (VIII). Finally, the CN group of (VIII) is reduced with H2 over a sponge-Ni catalyst in basic (KOH) ethanol. Alternatively, intermediate (VIa-b) can be reduced with H2 over a chiral (R,R)-rhodium catalyst [(R,R)-Rh] in THF/water to yield (S)-3-cyano-5-methylhexanoic acid potassium salt (IX). Finally, the CN group of (IX) is reduced with H2 over a sponge-Ni catalyst in basic (KOH) ethanol.

参考文献No.700267
标题:Syntheses du S-9490-3
作者:Pichat, L.; et al.
来源:J Label Compd Radiopharm 1988,25(5),553
合成路线图解说明:

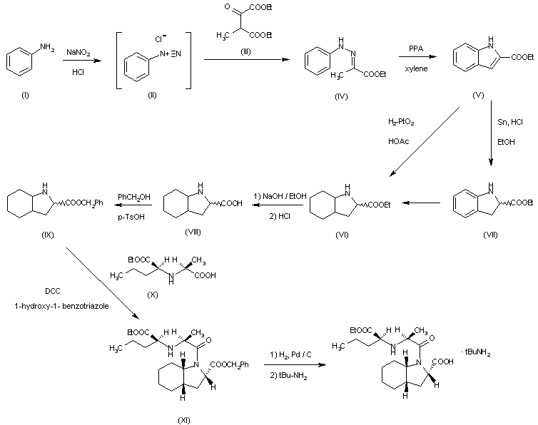
[U-14C]-Aniline (I) is converted to [U-14C]phenyldiazonium chloride (II), which is condensed in situ with ethyl 2-(ethoxyalyl)propionate (III) to give [U-14C]phenylhydrazone of ethyl pyruvate (IV). Cyclization of (IV) by polyphosphoric acid in xylene affords ethyl [U-14C-phenyl]indole-2-carboxylic acid (V). Catalytic hydrogenation of compound (V) in the presence of platinum gives ethyl [U-14C-cyclohexyl]-(RS)-perhydroindole-2-carboxylic acid (VI), which is saponified to the corresponding acid (VIII). Compound (VI) can also be prepared by reduction of compound (V) with tin and hydrochloric acid to give compound (VII), and hydrogenation of the latter in the presence of palladium. Compound (VIII) is reesterified to the benzyl ester (IX), which is condensed with N-[(S)-1-carbethoxybutyl]-(S)-alanine (X) in the presence of DCC and 1-hydroxy-1-benzotriazole. The resulting compound (X) is separated fom the mixture of isomers by silica gel column chromatography. Hydrogenolysis of the latter compound gives [U-14C-cyclohexyl]perindopril, which is isolated as the tert-bytylamine salt.

参考文献No.700389
标题:Stereoselective synthesis of a new perhydroindole derivative of dural iminodiacid, a potent inhibitor of angiotensin converting enzyme
作者:Vincent, M.; Redmond, G.; Portevin, B.; Serkiz, B.; Laubie, M.
来源:Tetrahedron Lett 1982,23(2),1677
合成路线图解说明:

S-9490 is synthesized by coupling (2S,3aS,7aS)-2-tert-butoxycarbonylperhydroindole (II) with N-[(S)-1-carbethoxybutyl-(S)-alanine (I).

Drug Information Express,Drug R&D,Chemical Database,Patent Search.
Copyright © 2006-2026 Drug Future. All rights reserved.Contact Us