【药物名称】KC-764
化学结构式(Chemical Structure):
参考文献No.28848
标题:Indolalkylamines, pharmaceutical compsns. containing them and process for their preparation
作者:Hausberg, H.-H.; Koppe, V.; Poetsch, E.; Saiko, O.; Seyfried, C. (Merck Patent GmbH)
来源:EP 0007399
合成路线图解说明:

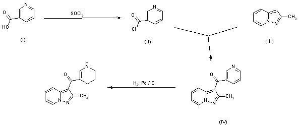
The reaction of nicotinic acid (I) with SOCl2 gives the corresponding acyl chloride (II), which is condensed with 2-methylpyrazolo[1,5-a]pyridine (III) by heating at 160-80 C or in refluxing dioxane, yielding 2-methyl-3-(3-pyridylcarbonyl)pyrazolo[1,5-a]pyridine (IV). Finally, this compound is hydrogenated with H2 over Pd/C in ethanol at 13 Atm. pressure and 55-8 C.

合成路线图解说明:

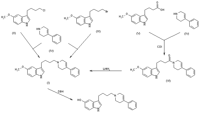
By demethylation of 5-methoxy-3-[4-(4-phenyl-1,2,3,6-tetrahydropyridin-1-yl)butyl]-1H-indole (I) with diisobutylaluminum hydride (DBH) in hot toluene. The methylated compound (I) can be obtained by two similar ways: a) By condensation of 3-(4-chlorobutyl)-5-methoxy-1H-indole (II), or 3-(4-bromobutyl)-5-methoxy-1H-indole (III) with 4-phenyl-1,2,3,6-tetrahydropyridine (IV) in acetonitrile at room temperature. b) By condensation of 4-(3-indolyl)butyric acid (V) with 4-phenyl-1,2,3,6-tetrahydropyridine (IV) by means of carbonyldiimdazole (CDI) in THF yielding 1-[4-(3-indolyl)butyryl]-4-phenyl-1,2,3,6-tetrahydropyridine (VI), followed by reduction of the carbonyl group of (VI) with LiAlH4 in THF.

参考文献No.115269
标题:Synthesis of 3-substituted pyrazolo[1,5-a]pyridine derivatives with inhibitory activity on platelet aggregation. I
作者:Awano, K.; Segawa, M.; Suzue, S.
来源:Chem Pharm Bull 1986,34(7),2828-32
合成路线图解说明:

The reaction of nicotinic acid (I) with SOCl2 gives the corresponding acyl chloride (II), which is condensed with 2-methylpyrazolo[1,5-a]pyridine (III) by heating at 160-80 C or in refluxing dioxane, yielding 2-methyl-3-(3-pyridylcarbonyl)pyrazolo[1,5-a]pyridine (IV). Finally, this compound is hydrogenated with H2 over Pd/C in ethanol at 13 Atm. pressure and 55-8 C.

参考文献No.130943
标题:KC-764
作者:Casta馿r, J.; Prous, J.
来源:Drugs Fut 1991,16(2),108
合成路线图解说明:

The reaction of nicotinic acid (I) with SOCl2 gives the corresponding acyl chloride (II), which is condensed with 2-methylpyrazolo[1,5-a]pyridine (III) by heating at 160-80 C or in refluxing dioxane, yielding 2-methyl-3-(3-pyridylcarbonyl)pyrazolo[1,5-a]pyridine (IV). Finally, this compound is hydrogenated with H2 over Pd/C in ethanol at 13 Atm. pressure and 55-8 C.

Drug Information Express,Drug R&D,Chemical Database,Patent Search.
Copyright © 2006-2026 Drug Future. All rights reserved.Contact Us