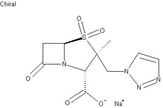
【药物名称】Tazobactam sodium, YP-14(comb. with piperacillin), CL-307579, CL-298741(free acid), YTR-830H, YTR-830(free acid), Tazocilline(comb. with piperacillin), Tazocin(comb. with piperacillin), Tazobac, Astat
化学结构式(Chemical Structure):
参考文献No.761
标题:Penicillin derivatives and process for preparation of the same
作者:Micetich, R.G.; et al. (Taiho Pharmaceutical Co., Ltd.)
来源:EP 0097446; ES 523701; ES 538020
合成路线图解说明:

1) The reaction of benzhydryl 2alpha-methyl-2beta-(chloromethyl)penam-3alpha-carboxylate (I) with sodium azide in DMF gives the corresponding azidomethyl derivative (II), which is oxidized with KMnO4 in aqueous acetic acid to the dioxide (III). The cyclization of (III) with trimethylsilylacetylene (IV) at 95 C yields benzhydryl 2a-methyl-2B-(4 trimethylsilyl-1,2,3-triazol-1 ylmethyl)penam 3a-carboxylate-1,1-dioxide (V), which is desilylated with KF and 18-crown-6 in hot DMF affording the benzhydryl ester of YTR-830 (VI). Then this compound is submitted to hydrogenolysis with H2 over Pd/C in ethyl / acetate / water.

合成路线图解说明:

2) The ester (VI) can also be obtained by cyclization of (III) with vinyl acetate (VII) at 110 C.

参考文献No.50434
标题:Substd. nicotinamides and analogs as activators of caspases and inducers of apoptosis and the use thereof
作者:Cai, S.X.; Drewe, J.A. (Cytovia, Inc.)
来源:WO 0155115
合成路线图解说明:

1) The reaction of benzhydryl 2alpha-methyl-2beta-(chloromethyl)penam-3alpha-carboxylate (I) with sodium azide in DMF gives the corresponding azidomethyl derivative (II), which is oxidized with KMnO4 in aqueous acetic acid to the dioxide (III). The cyclization of (III) with trimethylsilylacetylene (IV) at 95 C yields benzhydryl 2a-methyl-2B-(4 trimethylsilyl-1,2,3-triazol-1 ylmethyl)penam 3a-carboxylate-1,1-dioxide (V), which is desilylated with KF and 18-crown-6 in hot DMF affording the benzhydryl ester of YTR-830 (VI). Then this compound is submitted to hydrogenolysis with H2 over Pd/C in ethyl / acetate / water.

合成路线图解说明:

2) The ester (VI) can also be obtained by cyclization of (III) with vinyl acetate (VII) at 110 C.

合成路线图解说明:

The title amide is obtained by condensation of 6-methylpyridine-3-carboxylic acid (I) with 4-ethoxy-2-nitroaniline by means of cyanuric chloride and TEA in dichloromethane.

Drug Information Express,Drug R&D,Chemical Database,Patent Search.
Copyright © 2006-2026 Drug Future. All rights reserved.Contact Us