【药物名称】Ranimustine, MCNU, NSC-270516, Cymerine
化学结构式(Chemical Structure):
参考文献No.40776
标题:Alkyl amino-glucopyranoside derivative and process for producing the same
作者:Kimura, G.; Sekine, J. (Tokyo Tanabe Co., Ltd.)
来源:CA 1044228; CH 610334; DE 2530416; FR 2276828; GB 1499760; JP 7606925; JP 77125126; JP 7797915; NL 7507973
合成路线图解说明:

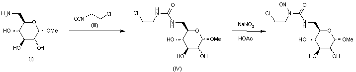
2) The condensation of compound (I) with 2-chloroethyl isocyanate (III) by means of silver carbonate in acetonitrile water gives methyl 6-[[-(2-chloroethyl) amino]carbonylamino]-6-deoxy-alpha-D-glucopyranoside (IV), which is then nitrosated with NaNO2 in aqueous acetic acid

参考文献No.40777
标题:Process for producing glucopyranose-nitrosourea cpds. and novel cpds. included therein
作者:Kimura, G. (Tokyo Tanabe Co., Ltd.)
来源:US 4156777
合成路线图解说明:

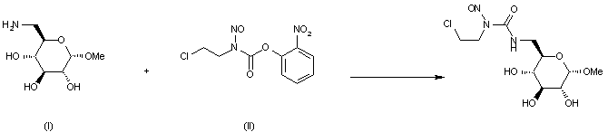
1) By condensation of methyl 6-amino-6-deoxy-alpha-D-glucopyranoside (I) with 2-nitrophenyl N-(2-chloroethyl)-N-nitrosocarbamate (II) in THF / methanol. The 2-cyanophenyl ester analogue of compound (II) can also be used.

参考文献No.42005
标题:Process for manufacturing chloroethylnitrosourea derivs. of alkylglucopyranose
作者:Kimura, G.; Irie, K.; Kamibayashi, M.; Sekine, J.; Nagamatsu, T.; Ueno, S. (Tokyo Tanabe Co., Ltd.)
来源:JP 77151125; JP 804760
合成路线图解说明:

1) By condensation of methyl 6-amino-6-deoxy-alpha-D-glucopyranoside (I) with 2-nitrophenyl N-(2-chloroethyl)-N-nitrosocarbamate (II) in THF / methanol. The 2-cyanophenyl ester analogue of compound (II) can also be used.

参考文献No.50412
标题:Ranimustine
作者:Prous, J.; Casta馿r, J.
来源:Drugs Fut 1986,11(9),762
合成路线图解说明:

1) By condensation of methyl 6-amino-6-deoxy-alpha-D-glucopyranoside (I) with 2-nitrophenyl N-(2-chloroethyl)-N-nitrosocarbamate (II) in THF / methanol. The 2-cyanophenyl ester analogue of compound (II) can also be used.

合成路线图解说明:

2) The condensation of compound (I) with 2-chloroethyl isocyanate (III) by means of silver carbonate in acetonitrile water gives methyl 6-[[-(2-chloroethyl) amino]carbonylamino]-6-deoxy-alpha-D-glucopyranoside (IV), which is then nitrosated with NaNO2 in aqueous acetic acid

Drug Information Express,Drug R&D,Chemical Database,Patent Search.
Copyright © 2006-2026 Drug Future. All rights reserved.Contact Us