【药物名称】Dinaline, PD-104208, NSC-328786, Goe-1734, AAPBA
化学结构式(Chemical Structure):
参考文献No.674
标题:N-Phenylbenzamide derivs.
作者:Herrmann, M.; Satzinger, G.; Fritschi, E.; Weierhausen, U. (G鰀ecke AG)
来源:EP 0116967; US 4816485
合成路线图解说明:

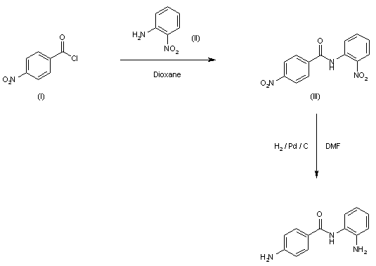
Condensation of 4-nitrobenzoyl chloride (I) with 2-nitrobenzenamine (II) in boiling dioxane yields N-(2-nitrophenyl)-4-nitrobenzamide (III), which is catalytically reduced by H2 over Pd/C in dimethylfomamide.

参考文献No.50344
标题:Dinaline
作者:Satzinger, G.; Weiershausen, U.
来源:Drugs Fut 1986,11(10),833
合成路线图解说明:

Condensation of 4-nitrobenzoyl chloride (I) with 2-nitrobenzenamine (II) in boiling dioxane yields N-(2-nitrophenyl)-4-nitrobenzamide (III), which is catalytically reduced by H2 over Pd/C in dimethylfomamide.

Drug Information Express,Drug R&D,Chemical Database,Patent Search.
Copyright © 2006-2026 Drug Future. All rights reserved.Contact Us