【药物名称】Elziverine, Ro-224839
化学结构式(Chemical Structure):
参考文献No.629
标题:Substd. isoquinolines
作者:Bruderer, H.; Kierstead, R.W.; Mullin, J.G. Jr.; Nakamura, K.; O'Brien, J.P.; Sidney, T.; Tateishi, M. (F. Hoffmann-La Roche AG)
来源:EP 0126480; ES 8601141; JP 1984222478; US 4544657
合成路线图解说明:

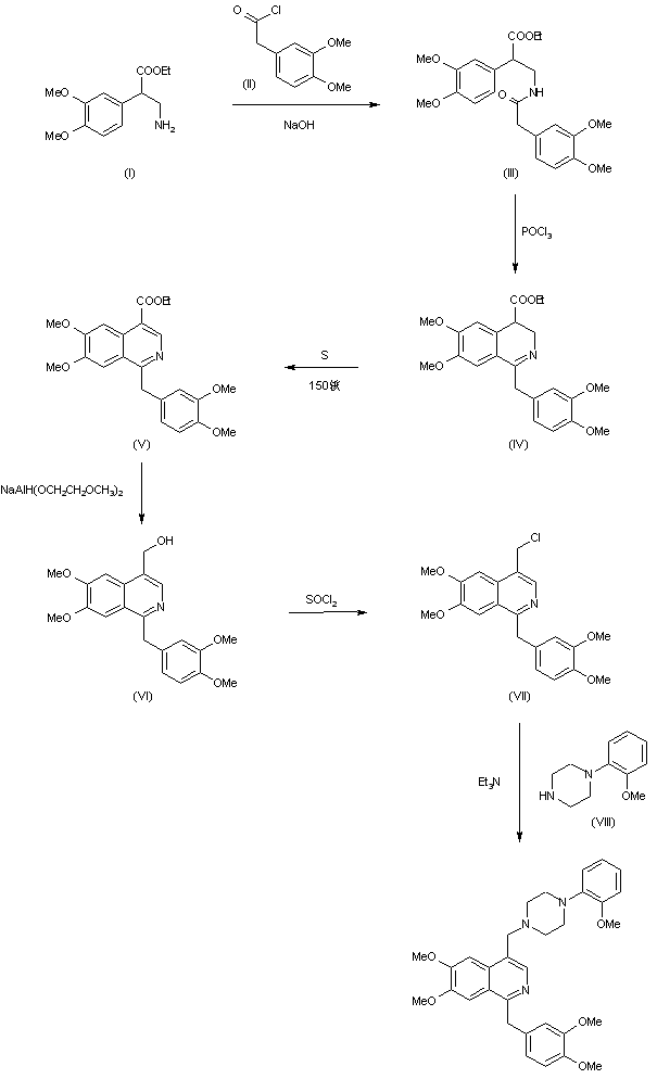
The condensation of ethyl 2-(aminomethyl)-2-(3,4-dimethoxyphenyl)acetate (I) with 3,4-dimethoxyphenylacetyl chloride (II) by means of NaOH in hot toluene gives ethyl 2-(3,4-dimethoxyphenyl)-3-(3,4-dimethoxyphenylacetamido)propionate (III), which is cyclized by means of Cl3PO in refluxing acetonitrile yielding ethyl 1-(3,4 dimethoxybenzyl)-6,7-dimethoxy-3,4-dihydroisoquinoline-4-carboxylate (IV). Aromatization of (IV) with sulfur at 150 C affords the corresponding isoquinoline derivative (V), which is reduced with sodium bis(2 methoxyethoxy)aluminum hydride in THF to give1-(3,4-dimethoxybenzyl)-6,7-dimethoxyisoquinoline-4-methanol (VI). The reaction of (VI) with SOCl2 in dichloromethane affords 4-(chloromethyl)-6,7-dimethoxy-1-(3,4-dimethoxybenzyl)isoquinoline (VII), which is finally condensed with 1-(2-methoxyphenyl)piperazine (VIII) by means of triethyl amine in hot DMSO.

参考文献No.62366
标题:Elziverine
作者:Casta馿r, J.; Prous, J.
来源:Drugs Fut 1988,13(2),120
合成路线图解说明:

The condensation of ethyl 2-(aminomethyl)-2-(3,4-dimethoxyphenyl)acetate (I) with 3,4-dimethoxyphenylacetyl chloride (II) by means of NaOH in hot toluene gives ethyl 2-(3,4-dimethoxyphenyl)-3-(3,4-dimethoxyphenylacetamido)propionate (III), which is cyclized by means of Cl3PO in refluxing acetonitrile yielding ethyl 1-(3,4 dimethoxybenzyl)-6,7-dimethoxy-3,4-dihydroisoquinoline-4-carboxylate (IV). Aromatization of (IV) with sulfur at 150 C affords the corresponding isoquinoline derivative (V), which is reduced with sodium bis(2 methoxyethoxy)aluminum hydride in THF to give1-(3,4-dimethoxybenzyl)-6,7-dimethoxyisoquinoline-4-methanol (VI). The reaction of (VI) with SOCl2 in dichloromethane affords 4-(chloromethyl)-6,7-dimethoxy-1-(3,4-dimethoxybenzyl)isoquinoline (VII), which is finally condensed with 1-(2-methoxyphenyl)piperazine (VIII) by means of triethyl amine in hot DMSO.

Drug Information Express,Drug R&D,Chemical Database,Patent Search.
Copyright © 2006-2026 Drug Future. All rights reserved.Contact Us