【药物名称】3 HMP
化学结构式(Chemical Structure):
参考文献No.50242
标题:3-HMP
作者:Killackey, B.A.; Killackey, J.J.F.; Philp, R.B.
来源:Drugs Fut 1985,10(7),557
合成路线图解说明:

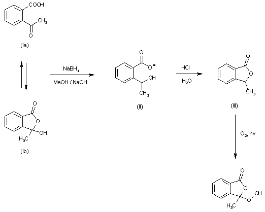
3-HMP is prepared from 3-methylphthalide (3-MP), which is in turn prepared from 2-acetylbenzoic acid (ABA). The ketone of the chain form of ABA (I) is reduced (II) by dissolving ABA (Aldrich, Montreal) in 100 ml of methanol containing 0.4 g of sodium hydroxide followed by the addition of sodium borohydride (0.4 g) and stirring for 18 h. After evaporation down to 10 ml, the Iactone is formed (III) by adding 100 ml of distilled water and then acidifying the mixture to pH 1 with 6N hydrochloric acid. Three chloroform extracts (50 ml) of the reaction mixture are pooled and evaporated to dryness, yielding a clear oil with a characteristic pepper-like aroma. The oil is distilled in a microdistillation apparatus. 3-MP can be stored for up to 60 days at 4 C in the dark. After this time, the product of oxidation, 3-HMP, can be found. Almost complete con version of 3-MP to 3-HMP occurs within 365 days when stored at room temperature and in the presence of sunlight. 3-HMP can also be prepared from 3-MP by dissolving 3-MP in benzene and bubbling oxygen through the stirring mixture under light from a mercury Iamp or short UV wave source. 3-HMP can be separated from 3-MP by preparative TLC using silica gel plates and 15% ether in petroleum ether (b.p. 35-60 C) for development. Compounds can be visualized using an anisaldehyde stain and 3-HMP can be eluted from the silica gel with ether to yield a white amorphous powder. 3-HMP has a smaller Rf than 3-MP and stains deep red-purple compared to white for 3-MP.

参考文献No.700117
标题:Separation of anti-inflamatory activity from platelet supressive activity in benzoic acid derivatives: Role of inhibitors of prostaglandin synthesis
作者:Cerskus, I.
来源:Ph. D. Thesis, University of Western Ontario, London, Ontario, Canada 1978,
合成路线图解说明:

3-HMP is prepared from 3-methylphthalide (3-MP), which is in turn prepared from 2-acetylbenzoic acid (ABA). The ketone of the chain form of ABA (I) is reduced (II) by dissolving ABA (Aldrich, Montreal) in 100 ml of methanol containing 0.4 g of sodium hydroxide followed by the addition of sodium borohydride (0.4 g) and stirring for 18 h. After evaporation down to 10 ml, the Iactone is formed (III) by adding 100 ml of distilled water and then acidifying the mixture to pH 1 with 6N hydrochloric acid. Three chloroform extracts (50 ml) of the reaction mixture are pooled and evaporated to dryness, yielding a clear oil with a characteristic pepper-like aroma. The oil is distilled in a microdistillation apparatus. 3-MP can be stored for up to 60 days at 4 C in the dark. After this time, the product of oxidation, 3-HMP, can be found. Almost complete con version of 3-MP to 3-HMP occurs within 365 days when stored at room temperature and in the presence of sunlight. 3-HMP can also be prepared from 3-MP by dissolving 3-MP in benzene and bubbling oxygen through the stirring mixture under light from a mercury Iamp or short UV wave source. 3-HMP can be separated from 3-MP by preparative TLC using silica gel plates and 15% ether in petroleum ether (b.p. 35-60 C) for development. Compounds can be visualized using an anisaldehyde stain and 3-HMP can be eluted from the silica gel with ether to yield a white amorphous powder. 3-HMP has a smaller Rf than 3-MP and stains deep red-purple compared to white for 3-MP.

参考文献No.700354
标题:Studies of the Pharmacological effects of benzoic acid analogs on thrombosis ans inflamation
作者:Killackey, J.J.F.
来源:Ph. D. Thesis, University of Western Ontario, London, Ontario, Canada 1982,
合成路线图解说明:

3-HMP is prepared from 3-methylphthalide (3-MP), which is in turn prepared from 2-acetylbenzoic acid (ABA). The ketone of the chain form of ABA (I) is reduced (II) by dissolving ABA (Aldrich, Montreal) in 100 ml of methanol containing 0.4 g of sodium hydroxide followed by the addition of sodium borohydride (0.4 g) and stirring for 18 h. After evaporation down to 10 ml, the Iactone is formed (III) by adding 100 ml of distilled water and then acidifying the mixture to pH 1 with 6N hydrochloric acid. Three chloroform extracts (50 ml) of the reaction mixture are pooled and evaporated to dryness, yielding a clear oil with a characteristic pepper-like aroma. The oil is distilled in a microdistillation apparatus. 3-MP can be stored for up to 60 days at 4 C in the dark. After this time, the product of oxidation, 3-HMP, can be found. Almost complete con version of 3-MP to 3-HMP occurs within 365 days when stored at room temperature and in the presence of sunlight. 3-HMP can also be prepared from 3-MP by dissolving 3-MP in benzene and bubbling oxygen through the stirring mixture under light from a mercury Iamp or short UV wave source. 3-HMP can be separated from 3-MP by preparative TLC using silica gel plates and 15% ether in petroleum ether (b.p. 35-60 C) for development. Compounds can be visualized using an anisaldehyde stain and 3-HMP can be eluted from the silica gel with ether to yield a white amorphous powder. 3-HMP has a smaller Rf than 3-MP and stains deep red-purple compared to white for 3-MP.

Drug Information Express,Drug R&D,Chemical Database,Patent Search.
Copyright © 2006-2026 Drug Future. All rights reserved.Contact Us