【药物名称】AH-23848B, AH-23848
化学结构式(Chemical Structure):
参考文献No.50132
标题:AH-23848
作者:Lumley, P.
来源:Drugs Fut 1986,11(2),85
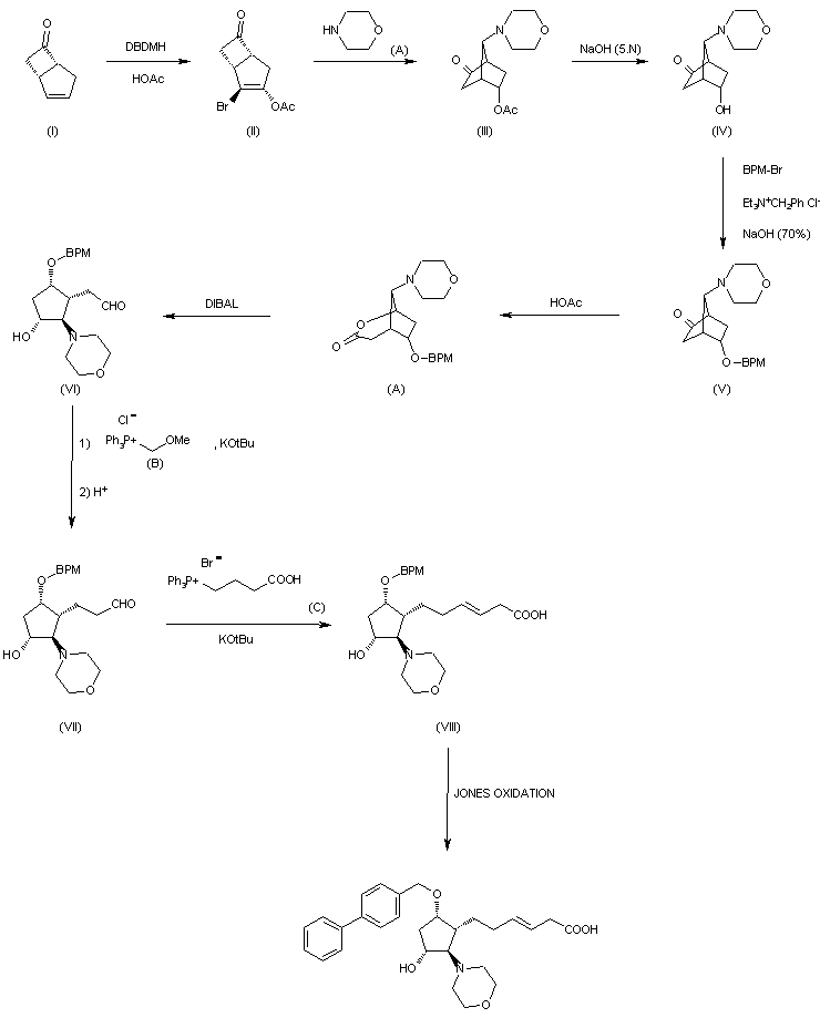
合成路线图解说明:

The reaction of bicyclo[3.2.0]hept-2-en-6-one (I) with 1,3-dibromo-5,5-dimethylhydantoin (DBDMH) in acetic acid gives 3-endo-acetoxy-2-exo-bromo-bicyclo[3.2.0]heptan-6-one (II), which is treated with morpholine in dichloromethane to yield 5-endo-acetoxy-7-anti morpholinobicyclo[2.2.l]heptan-2-one (III). Hydrolysis of (III) with NaOH gives the norbornanone (IV), which is alkylated with biphenyl methylbromide under phase transfer catalysis to give 5-endo[(1,1'-biphenyl)-4 yl]methoxy-7-anti-morpholinobicyclo[2.2.1]heptan 2-one (V). Baeyer-Villiger oxidation followed by partial reduction with diisobutylaluminum hydride (Dibal) gives the aldehyde (VI), which is then homologated to the aldehyde (VII) using methoxymethylenetriphenyl phosphorane and subsequent treatment with 2N HCl. Condensation of (VII) with 3 carboxypropyl triphenylphosphorane in tetrahydrofuran affords the acid (VIII). Finally, this compound is oxidized with Jones' reagent.

Drug Information Express,Drug R&D,Chemical Database,Patent Search.
Copyright © 2006-2026 Drug Future. All rights reserved.Contact Us