【药物名称】Alaptide, VUFB-15754, CPA, c(Acp-Ala)
化学结构式(Chemical Structure):
参考文献No.396
标题:2,5-Piperazinedione derivs
作者:Kasafirek, E.; Vanzura, J.; Krejci, I.; Krepelka, J.; Dlabac, A.; Valchar, M. (SPOFA - United Pharmaceutical Works)
来源:CS 231227; GB 2127807
合成路线图解说明:

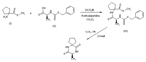
The condensation of methyl 1-aminocyclopentane-1-carboxylate (I) with N-benzyloxycarbonyl-alanine (II) by the mixed anhydride method gives methyl 1-(benzyloxycarbonyl-alanyl)aminocyclopentane-1-carboxylate (III). Debenzylation of (III) by hydrogenation with H2 over Pd/C in methanol followed by a cyclization reaction in refluxing toluene yields alaptide.

参考文献No.127620
标题:ALAPTIDE
作者:R醖l, S.; Kasaf韗ek, E.; Krejc? I.
来源:Drugs Fut 1990,15(5),445
合成路线图解说明:

The condensation of methyl 1-aminocyclopentane-1-carboxylate (I) with N-benzyloxycarbonyl-alanine (II) by the mixed anhydride method gives methyl 1-(benzyloxycarbonyl-alanyl)aminocyclopentane-1-carboxylate (III). Debenzylation of (III) by hydrogenation with H2 over Pd/C in methanol followed by a cyclization reaction in refluxing toluene yields alaptide.

Drug Information Express,Drug R&D,Chemical Database,Patent Search.
Copyright © 2006-2026 Drug Future. All rights reserved.Contact Us