【药物名称】Cefdinir, PD-134393, CI-983, FR-80482, FK-482, Omnicef, Cefzon
化学结构式(Chemical Structure):
参考文献No.375
标题:Syn-isomer of 7-substd.-3-vinyl-3-cephem cpds., pr
作者:Kawabata, K.; Masugi, T.; Takaya, T.; Taksugi, H.; Yamanaka, H. (Fujisawa Pharmaceutical Co., Ltd.)
来源:EP 0105459; ES 8600309; ES 8800235; US 4559334
合成路线图解说明:

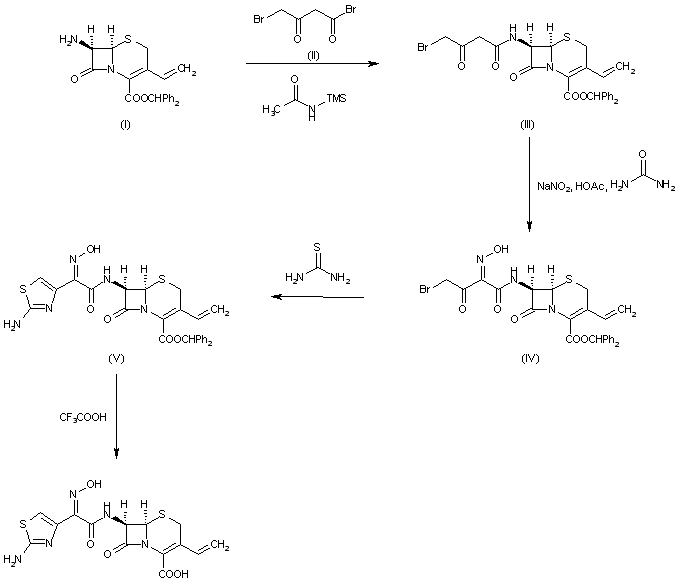
The condensation of benzhydryl 7-amino-3-vinyl-3-cephem-4-carboxylate (I) with 4-bromoacetoacetyl bromide (II) by means of trimethylsilylacetamide in ethyl acetate gives benzhydryl 7-(4-bromoaceto-acetamido)-3-vinyl-3-cephem-4-carboxylate (III), which by reaction with NaNO2 - acetic acid in dichloromethane and then with urea is converted to benzhydryl 7-[4-bromo-2-(hydroxyimino)acetoacetamido]-3-vinyl-3-cephem-4 carboxylate (IV). The cyclization of (IV) with thiourea in dimethylacetamide affords benzhydryl 7-[2-(2-aminothiazol-4-yl) (hydroxyimino)acetamido]-3-vinyl-3-cephem-4-carboxylate (V), which is finally hydrolyzed with trifluoroacetic acid - anisole as usual.

参考文献No.62404
标题:FK-482
作者:Casta馿r, J.; Prous, J.
来源:Drugs Fut 1988,13(3),224
合成路线图解说明:

The condensation of benzhydryl 7-amino-3-vinyl-3-cephem-4-carboxylate (I) with 4-bromoacetoacetyl bromide (II) by means of trimethylsilylacetamide in ethyl acetate gives benzhydryl 7-(4-bromoaceto-acetamido)-3-vinyl-3-cephem-4-carboxylate (III), which by reaction with NaNO2 - acetic acid in dichloromethane and then with urea is converted to benzhydryl 7-[4-bromo-2-(hydroxyimino)acetoacetamido]-3-vinyl-3-cephem-4 carboxylate (IV). The cyclization of (IV) with thiourea in dimethylacetamide affords benzhydryl 7-[2-(2-aminothiazol-4-yl) (hydroxyimino)acetamido]-3-vinyl-3-cephem-4-carboxylate (V), which is finally hydrolyzed with trifluoroacetic acid - anisole as usual.

参考文献No.65769
标题:Process for the preparation of cefdinir
作者:Singh, S.K.; Kumar, Y.; Prasad, M.; Prasad, A.; Kumar, N.P. (Ranbaxy Laboratories Ltd.)
来源:WO 0391261
合成路线图解说明:

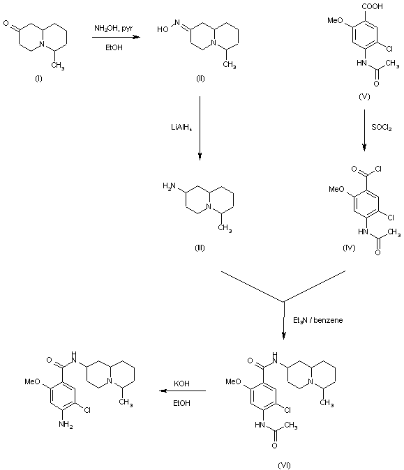
The reaction of quinolizidinone (I) with hydroxylamine and pyridine in refluxing ethanol gives the corresponding oxime (II), which is reduced with LiAlH4 in ether to yield 6-methyl-2-aminoquinolizidine (III). The acylation of (III) with 4-acetamido-5-chloro-2-methoxybenzoyl chloride (IV) [prepared from the corresponding acid (V) and SOCl2] by means of triethylamine in benzene affords the protected benzamide (VI), which is finally deprotected with KOH in refluxing ethanol.

合成路线图解说明:

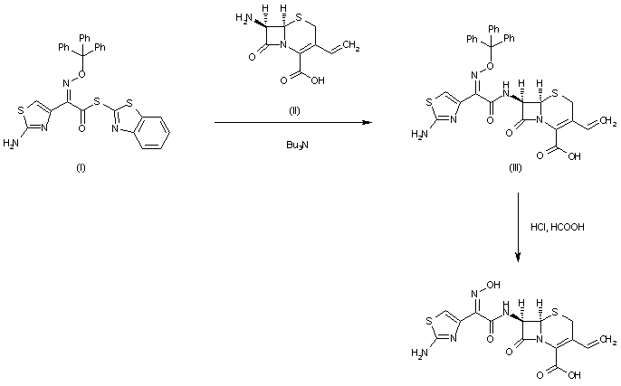
The condensation of 2-(2-aminothiazol-4-yl)-2(Z)-(trityoloxyimino)thioacetic acid 2-benzothiazolyl ester (I) with 7-amino-3-vinyl-3-cephem-4-carboxylic acid (II) by means of tributylamine in DMA gives the corresponding amide (III), which is deprotected by means of HCl and formic acid to provide cefdinir.

Drug Information Express,Drug R&D,Chemical Database,Patent Search.
Copyright © 2006-2026 Drug Future. All rights reserved.Contact Us