【药物名称】KW-5805
化学结构式(Chemical Structure):
参考文献No.288
标题:Benzepino[3,4-b]pyridine derivs.
作者:Kumazawa, T.; Oiji, Y.; Shuto, K.; Tanaka, H. (Kyowa Hakko Kogyo Co., Ltd.)
来源:EP 0129879; JP 1985006690; JP 1985078985; JP 1985089419; US 4547496
合成路线图解说明:

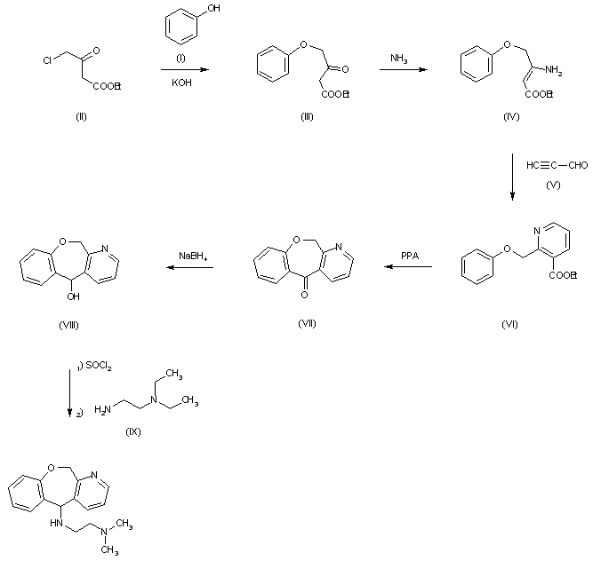
The reaction of phenol (I) with ethyl 4-chloroacetoacetate (II) by means of KOH in DMSO gives ethyl 4 phenoxyacetoacetate (III), which by treatment with NH3 is converted into ethyl 3-amino-4-phenoxycrotonate (IV). The cyclization of (IV) with propargyl aldehyde (V) in hot toluene affords ethyl 2-(phenoxymethyl)nicotinate (VI), which is cyclized again by means of polyphosphoric acid (PPA) to yield 5,11-dihydro[1]benzoxepino[3,4-b)pyridin-5-one (VII). The reduction of (VII) with NaBH4 in ethanol gives the corresponding alcohol (VIII), which is finally condensed with N,N-diethylethylene diamine (IX) by means of SOCl2 in dichloromethane.

参考文献No.72701
标题:KW-5805
作者:Casta馿r, J.; Prous, J.
来源:Drugs Fut 1988,13(11),954
合成路线图解说明:

The reaction of phenol (I) with ethyl 4-chloroacetoacetate (II) by means of KOH in DMSO gives ethyl 4 phenoxyacetoacetate (III), which by treatment with NH3 is converted into ethyl 3-amino-4-phenoxycrotonate (IV). The cyclization of (IV) with propargyl aldehyde (V) in hot toluene affords ethyl 2-(phenoxymethyl)nicotinate (VI), which is cyclized again by means of polyphosphoric acid (PPA) to yield 5,11-dihydro[1]benzoxepino[3,4-b)pyridin-5-one (VII). The reduction of (VII) with NaBH4 in ethanol gives the corresponding alcohol (VIII), which is finally condensed with N,N-diethylethylene diamine (IX) by means of SOCl2 in dichloromethane.

参考文献No.546826
标题:Synthesis and antiulcer activity of 5,11-dihydro[1]benzoxepino[3,4-b]pyridines.
作者:Kumazawa, T.; Harakawa, H.; Obase, H.; Oijo, Y.; Tanaka, H.; Shuto, K.; Ishii, A.; Oka, T.; Nakamizo, N.
来源:J Med Chem 1988,31(4),779
合成路线图解说明:

The reaction of phenol (I) with ethyl 4-chloroacetoacetate (II) by means of KOH in DMSO gives ethyl 4 phenoxyacetoacetate (III), which by treatment with NH3 is converted into ethyl 3-amino-4-phenoxycrotonate (IV). The cyclization of (IV) with propargyl aldehyde (V) in hot toluene affords ethyl 2-(phenoxymethyl)nicotinate (VI), which is cyclized again by means of polyphosphoric acid (PPA) to yield 5,11-dihydro[1]benzoxepino[3,4-b)pyridin-5-one (VII). The reduction of (VII) with NaBH4 in ethanol gives the corresponding alcohol (VIII), which is finally condensed with N,N-diethylethylene diamine (IX) by means of SOCl2 in dichloromethane.

Drug Information Express,Drug R&D,Chemical Database,Patent Search.
Copyright © 2006-2026 Drug Future. All rights reserved.Contact Us