【药物名称】Cefcanel daloxate hydrochloride, KY-109
化学结构式(Chemical Structure):
参考文献No.9121
标题:Cephalosporin cpds.
作者:Nishizawa, S.; Tamaki, S.; Kakeya, N.; Kitao, K. (Kyoto Pharmaceutical Industries, Ltd.)
来源:WO 8505360
合成路线图解说明:

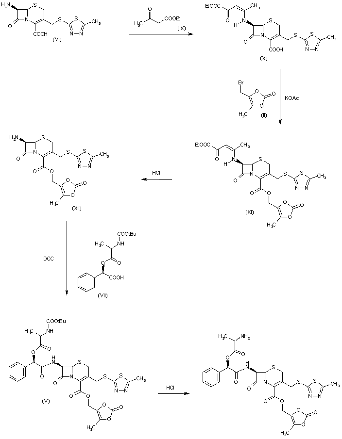
3) The reaction of the 7-aminocephem derivative (VI) with ethyl acetoacetate (IX) at room temperature gives the 3-aminocrotonate derivative (X), which is esterified with dioxolone (II) as before yielding the ester derivative (XI). The acidic (HCl) hydrolysis of (XI) in methanol-dichloromethane affords the 7-aminocephem derivative (XII) , which is finally condensed with 2-O-(tert-butoxycarbonyl-L-alanyl)mandelic acid (VII) by means of dicyclohexylcarbodiimide (DCC) in dichloromethane to yield the protected product (V), already obtained.

参考文献No.67629
标题:KY-109, A new bifunctional pro-drug of a cephalosporin. Chemistry, physico-chemical and biological properties
作者:Kakeya, N.; Nishizawa, S.; Nishimura, K.; Yoshimi, A.; Tamaki, S.; Mori, T.; Kitao, K.
来源:J Antibiot 1985,38(3),380-9
合成路线图解说明:

1) The esterification of 7-[(R)-mandelamido]-3-(5-methyl-1,3,4-thiadiazol-2-ylthiomethyl)-3-cephem-4-carboxylic acid (KY-087; I) with 4-bromomethyl-5-methyl-1,3-dioxol-2-one (II) by means of potassium acetate in DMF gives the corresponding ester (KY-106; III), which is condensed with tert-butoxycarbonyl-L-alanine (IV) by means of dicyclohexylcarbodiimide (DCC) and 4-(dimethylamino)pyridine (DMP) in dichloromethane affording the protected final product (V). Finally, this compound is deprotected with HCl in methanol-acetone.

合成路线图解说明:

2) The reaction of 7-amino-3-(5-methyl-1,3,4-thiadiazol-2-ylthiomethyl)-3-cephem-4-carboxylic acid (VI) with 2-O-(tert-butoxycarbonyl-L-alanyl)mandelic acid (VII) by means of triethylamine in THF gives the corresponding amide (VIII), which is then esterified with dioxolone (II) as before to afford the protected product (V), already obtained.

合成路线图解说明:

3) The reaction of the 7-aminocephem derivative (VI) with ethyl acetoacetate (IX) at room temperature gives the 3-aminocrotonate derivative (X), which is esterified with dioxolone (II) as before yielding the ester derivative (XI). The acidic (HCl) hydrolysis of (XI) in methanol-dichloromethane affords the 7-aminocephem derivative (XII) , which is finally condensed with 2-O-(tert-butoxycarbonyl-L-alanyl)mandelic acid (VII) by means of dicyclohexylcarbodiimide (DCC) in dichloromethane to yield the protected product (V), already obtained.

参考文献No.73544
标题:CEFCANEL DALOXATE HYDROCHLORIDE < Prop INNM >
作者:Prous, J.; Casta馿r, J.
来源:Drugs Fut 1989,14(1),13
合成路线图解说明:

1) The esterification of 7-[(R)-mandelamido]-3-(5-methyl-1,3,4-thiadiazol-2-ylthiomethyl)-3-cephem-4-carboxylic acid (KY-087; I) with 4-bromomethyl-5-methyl-1,3-dioxol-2-one (II) by means of potassium acetate in DMF gives the corresponding ester (KY-106; III), which is condensed with tert-butoxycarbonyl-L-alanine (IV) by means of dicyclohexylcarbodiimide (DCC) and 4-(dimethylamino)pyridine (DMP) in dichloromethane affording the protected final product (V). Finally, this compound is deprotected with HCl in methanol-acetone.

合成路线图解说明:

2) The reaction of 7-amino-3-(5-methyl-1,3,4-thiadiazol-2-ylthiomethyl)-3-cephem-4-carboxylic acid (VI) with 2-O-(tert-butoxycarbonyl-L-alanyl)mandelic acid (VII) by means of triethylamine in THF gives the corresponding amide (VIII), which is then esterified with dioxolone (II) as before to afford the protected product (V), already obtained.

合成路线图解说明:

3) The reaction of the 7-aminocephem derivative (VI) with ethyl acetoacetate (IX) at room temperature gives the 3-aminocrotonate derivative (X), which is esterified with dioxolone (II) as before yielding the ester derivative (XI). The acidic (HCl) hydrolysis of (XI) in methanol-dichloromethane affords the 7-aminocephem derivative (XII) , which is finally condensed with 2-O-(tert-butoxycarbonyl-L-alanyl)mandelic acid (VII) by means of dicyclohexylcarbodiimide (DCC) in dichloromethane to yield the protected product (V), already obtained.

参考文献No.900149
标题:Antibiotic amino acid derivatives of cephalosporins.
作者:Kaneya, N.; Nishizawa, S.; Tamaki, S.; Kitao, K. (Kyoto Pharmaceutical Industries, Ltd.)
来源:JP 59116292; US 4605651; WO 8401949
合成路线图解说明:

1) The esterification of 7-[(R)-mandelamido]-3-(5-methyl-1,3,4-thiadiazol-2-ylthiomethyl)-3-cephem-4-carboxylic acid (KY-087; I) with 4-bromomethyl-5-methyl-1,3-dioxol-2-one (II) by means of potassium acetate in DMF gives the corresponding ester (KY-106; III), which is condensed with tert-butoxycarbonyl-L-alanine (IV) by means of dicyclohexylcarbodiimide (DCC) and 4-(dimethylamino)pyridine (DMP) in dichloromethane affording the protected final product (V). Finally, this compound is deprotected with HCl in methanol-acetone.

参考文献No.900150
标题:Production of cephalosporin compounds.
作者:Nishizawa, S.; et al. (Kyoto Pharmaceutical Industries, Ltd.)
来源:JP 85034975
合成路线图解说明:

3) The reaction of the 7-aminocephem derivative (VI) with ethyl acetoacetate (IX) at room temperature gives the 3-aminocrotonate derivative (X), which is esterified with dioxolone (II) as before yielding the ester derivative (XI). The acidic (HCl) hydrolysis of (XI) in methanol-dichloromethane affords the 7-aminocephem derivative (XII) , which is finally condensed with 2-O-(tert-butoxycarbonyl-L-alanyl)mandelic acid (VII) by means of dicyclohexylcarbodiimide (DCC) in dichloromethane to yield the protected product (V), already obtained.

Drug Information Express,Drug R&D,Chemical Database,Patent Search.
Copyright © 2006-2026 Drug Future. All rights reserved.Contact Us