【药物名称】Bazinaprine, SR-95191
化学结构式(Chemical Structure):
参考文献No.49876
标题:SR-95191
作者:Eastland, G. Jr.
来源:Drugs Fut 1987,12(2),137
合成路线图解说明:

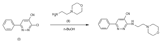
The reaction of 3-chloro-4-cyano-6-phenylpyridazine (I) with (4-morpholino)ethylamine (II) in refluxing n-butanol gives title compound.

Drug Information Express,Drug R&D,Chemical Database,Patent Search.
Copyright © 2006-2026 Drug Future. All rights reserved.Contact Us