【药物名称】Venlafaxine hydrochloride, Wy-45030, Effexor LP, Efexor XL, Efexor XR, Efectin, Trevilor, Vandral, Dobupal, Efexor, Effexor
化学结构式(Chemical Structure):
参考文献No.222
标题:Phenethylamine derivs.
作者:Morris, G.E.; Muth, E.A.; Yardley, J.P. (American Home Products Corp.)
来源:EP 0112669; ES 8702336; GB 2133788; JP 1991135948; JP 1991178953; US 4535186
合成路线图解说明:

The condensation of cyclohexanone (I) with 4 methoxyphenylacetonitrile (II) by means of n-butyllithium in THF gives 2-(1-hydroxycyclohexyl)-2-(4-methoxyphenyl) acetonitrile (III), which is reduced with H2 over Rh/A12O3 in ethanol-ammonia yielding 1-[2-amino-1-(4 methoxyphenyl)ethyl]cyclohexanol (IV). Finally, this compound is methylated with formaldehyde and formic acid in refluxing water.

参考文献No.47385
标题:Venlafaxine production process
作者:Camps Garcia, P.; Bosch i Llado, J.; Onrubia Miguel, M.C.; Arnalot i Aguilar, C.; Soldevila Madrid, N. (Medichem SA)
来源:WO 0107397
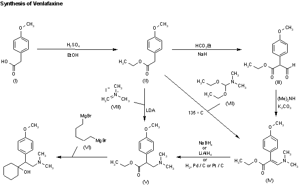
合成路线图解说明:

A new process for the production of venlafaxine has been reported: Esterification of 2-(4-methoxyphenyl)-acetic acid (I) with ethanol and sulfuric acid gives the corresponding ethyl ester (II), which is condensed with ethyl formate by means of NaH to yield 2-formyl-3-(4-methoxyphenyl)acetic acid ethyl ester (III). Reaction of (III) with dimethylamine and K2CO3 in EtOH affords 3-(dimethylamino)-2-(4-methoxyphenyl)acrylic acid ethyl ester (IV), which is reduced with either NaBH4, LiAlH4 or H2 over Pd/C or Pt/C in ethanol to provide the corresponding propionic ester (V). Finally, this compound is cyclized with the bismagnesiane (VI) in THF. Alternatively, acrylic ester (IV) can be obtained directly by condensation of acetate (II) with dimethylformamide diethylacetal (VII) at 135 C. Alternatively, propionic ester (V) can be obtained by condensation of acetate (II) with N,N-dimethylmethylene-iminium iodide (VIII) by means of LDA in THF/heptane/ ethylbenzene.

参考文献No.48555
标题:Preparation of cyclohexanol derivs. and novel thioamide intermediates
作者:Shepard, R.G. (John Wyeth & Brother Ltd.)
来源:US 5043466
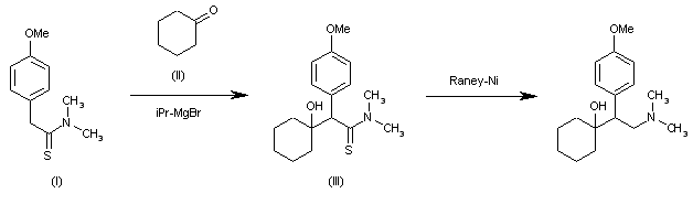
合成路线图解说明:

The condensation of 2-(4-methoxyphenyl)-N,N-dimethylthioacetamide (I) with cyclohexanone (II) by means of isopropylmagnesium bromide in toluene/methyl tert-butyl ether gives 2-(1-hydroxycyclohexyl)-2-(4-methoxyphenyl)-N,N-dimethylthioacetamide (III), which is finally desulfurized by means of Raney-nickel in dioxane/acetic acid.

参考文献No.68071
标题:WY-45030
作者:Prous, J.; Casta馿r, J.
来源:Drugs Fut 1988,13(9),839
合成路线图解说明:

The condensation of cyclohexanone (I) with 4 methoxyphenylacetonitrile (II) by means of n-butyllithium in THF gives 2-(1-hydroxycyclohexyl)-2-(4-methoxyphenyl) acetonitrile (III), which is reduced with H2 over Rh/A12O3 in ethanol-ammonia yielding 1-[2-amino-1-(4 methoxyphenyl)ethyl]cyclohexanol (IV). Finally, this compound is methylated with formaldehyde and formic acid in refluxing water.

参考文献No.138342
标题:2-Phenyl-2-(1-hydroxycycloalkyl)ethylamine derivatives: Synthesis and antidepressant activity
作者:Yardley, J.P.; Husbands, G.E.M.; Stack, G.; et al.
来源:J Med Chem 1990,33(10),2899-905
合成路线图解说明:

The condensation of cyclohexanone (I) with 4 methoxyphenylacetonitrile (II) by means of n-butyllithium in THF gives 2-(1-hydroxycyclohexyl)-2-(4-methoxyphenyl) acetonitrile (III), which is reduced with H2 over Rh/A12O3 in ethanol-ammonia yielding 1-[2-amino-1-(4 methoxyphenyl)ethyl]cyclohexanol (IV). Finally, this compound is methylated with formaldehyde and formic acid in refluxing water.

参考文献No.700006
标题:Novel phenethylamine antidepressants
作者:Husbands, G.E.; Yardley, J.P.; Muth, E.A.; Stack, G.
来源:190th ACS Natl Meet (Chicago) 1985,Abst MEDI 80
合成路线图解说明:

The condensation of cyclohexanone (I) with 4 methoxyphenylacetonitrile (II) by means of n-butyllithium in THF gives 2-(1-hydroxycyclohexyl)-2-(4-methoxyphenyl) acetonitrile (III), which is reduced with H2 over Rh/A12O3 in ethanol-ammonia yielding 1-[2-amino-1-(4 methoxyphenyl)ethyl]cyclohexanol (IV). Finally, this compound is methylated with formaldehyde and formic acid in refluxing water.

Drug Information Express,Drug R&D,Chemical Database,Patent Search.
Copyright © 2006-2026 Drug Future. All rights reserved.Contact Us