【药物名称】Rishirilide B
化学结构式(Chemical Structure):
参考文献No.606786
标题:The total synthesis of (?-rishirilide B
作者:Allen, J.G.; Danishefsky, S.J.
来源:J Am Chem Soc 2001,123(2),351
合成路线图解说明:

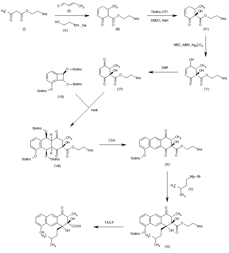
The cyclization of acetoacetic ester (I) with crotonaldehyde (II) by means of Na and 2-(trimethylsilyl)ethanol (A) in ethyl ether gives the cyclohexenone carboxylic ester (III), which is hydroxylated by means of NaH, Tbdms-OTf and dimethyldioxirane (DMDO) in DMF, yielding the alpha-hydroxy compound (IV). The bromination of (IV) with NBS and AIBN, followed by treatment with Ag2CO3 in acetone/water, affords the diol (V), which is oxidized with DMP to the cyclohexenedione (VI). The cyclization of (VI) with benzocyclobutane (VII) in hot toluene provides the tricyclic dione (VIII), which is aromatized by means of CSA in pyridine/MeOH, furnishing the dihydroanthraquinone (IX). The Grignard condensation of (IX) with isoamylmagnesium bromide (X) in THF gives the adduct (XI), which is finally desilylated by means of TAS-F in THF.

Drug Information Express,Drug R&D,Chemical Database,Patent Search.
Copyright © 2006-2026 Drug Future. All rights reserved.Contact Us