【药物名称】LY-127210
化学结构式(Chemical Structure):
参考文献No.187
标题:Benzazepine derivs.
作者:Paget, C.J. Jr.; Ruffolo, R.R. Jr. (Eli Lilly and Company)
来源:EP 0116444; ES 8602681; ES 8801215; GB 2134519
合成路线图解说明:

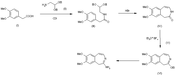
The condensation of 3,4-dimethoxyphenyacetic acid (I) with 2-aminoacetaldehyde diethylacetal (II) by means of 1,1'-carbonyldiimidazole (CDI) in CHCl3 gives N-(2,2-diethoxyethyl)-3,4-dimelhoxyphenylacetamide (III), which is cyclized by means of 48% aqueous HBr yielding 1,3-dihydro-7,8-dimethoxy-2H-3-benzazepin-2-one (IV). The reaction of (IV) with triethyloxonium tetrafluoroborate (V) in methylene chloride affords 2-ethoxy-7,8-dimethoxy-1H-3-benzazepine (VI), which is finally treated with ammonium chloride in refluxing methanol.

参考文献No.49805
标题:LY-127210
作者:Prous, J.; Casta馿r, J.
来源:Drugs Fut 1986,11(9),748
合成路线图解说明:

The condensation of 3,4-dimethoxyphenyacetic acid (I) with 2-aminoacetaldehyde diethylacetal (II) by means of 1,1'-carbonyldiimidazole (CDI) in CHCl3 gives N-(2,2-diethoxyethyl)-3,4-dimelhoxyphenylacetamide (III), which is cyclized by means of 48% aqueous HBr yielding 1,3-dihydro-7,8-dimethoxy-2H-3-benzazepin-2-one (IV). The reaction of (IV) with triethyloxonium tetrafluoroborate (V) in methylene chloride affords 2-ethoxy-7,8-dimethoxy-1H-3-benzazepine (VI), which is finally treated with ammonium chloride in refluxing methanol.

Drug Information Express,Drug R&D,Chemical Database,Patent Search.
Copyright © 2006-2026 Drug Future. All rights reserved.Contact Us