【药物名称】Roquinimex, PNU-212616, FCF-89, LS-2616, Linomide
化学结构式(Chemical Structure):
参考文献No.5151
标题:Novel morpholino derivs. of daunorubicins and doxorubicins
作者:Bargiotti, A.; Zini, P.; Penco, S.; Giuliani, F. (Pharmacia Corp.)
来源:BE 0904431; DE 3609052; GB 2172594; JP 1986221194; US 4672057
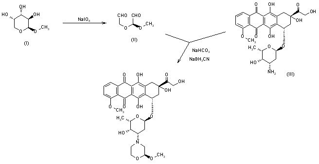
合成路线图解说明:

By condensation of 4-hydroxy-1-methyl-2-oxo-1,2-dihydroquinoline-3-carboxylic acid ethyl ester (I) with N-methylaniline (II) by heating at 125 C and distillation of the ethanol formed.

合成路线图解说明:

The oxidative cleavage of methyl beta-L-arabinopyranoside (I) with sodium periodate in water gives the dialdehyde (II), which is then cyclized with daunorubicin by means of NaHCO3 and sodium cyanoborohydride in acetonitrile/water.

参考文献No.280162
标题:Roquinimex
作者:Robinson, C.; Casta馿r, J.
来源:Drugs Fut 1995,20(1),19
合成路线图解说明:

By condensation of 4-hydroxy-1-methyl-2-oxo-1,2-dihydroquinoline-3-carboxylic acid ethyl ester (I) with N-methylaniline (II) by heating at 125 C and distillation of the ethanol formed.

Drug Information Express,Drug R&D,Chemical Database,Patent Search.
Copyright © 2006-2026 Drug Future. All rights reserved.Contact Us